🇳🇴 🇬🇧 🇩🇪 🇨🇿 🇫🇮

Meteor, poloha: Sauda 2022-10-18 21:06:26 UTC

Soubor KML  |  InteraktivnĂ­ mapa

Mapa zobrazuje dráhy meteoru. Světlejší čáry ukazují směry od pozorovacích stanic při objevení se meteoru a tmavší čáry, kde byl naposledy viděn. Modrá šipka značí viditelnou dráhu meteoru.

static map
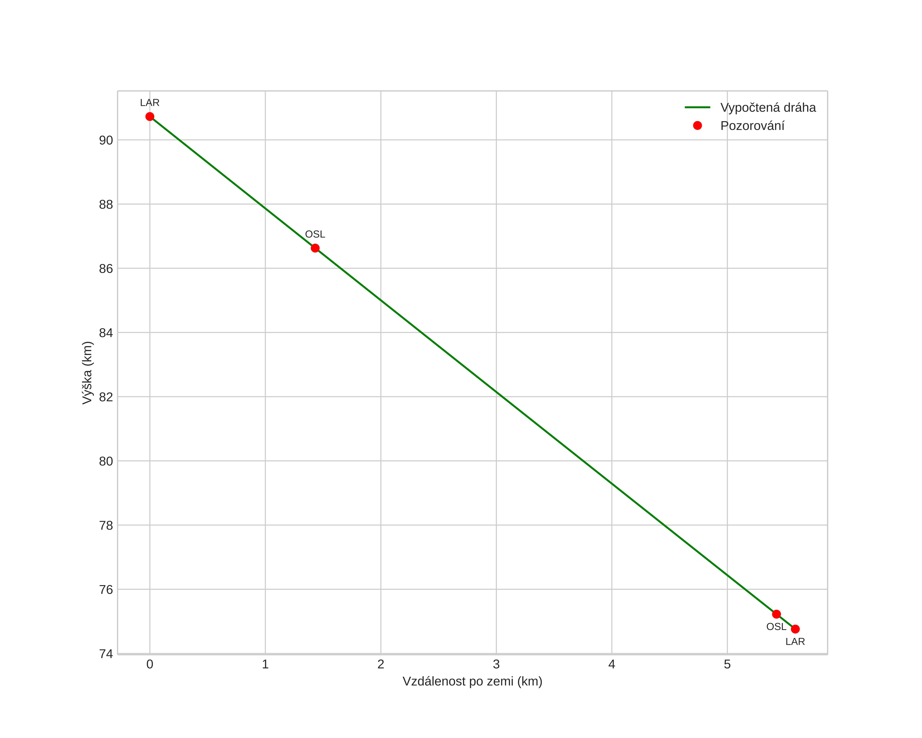
height profile
Atmosférická dráha meteoru:
Počáteční výška: 90,7 km
Konečná výška: 74,8 km
Počáteční poloha: 59,281N 6,681E
Konečná poloha: 59,283N 6,778E
Směr: 87,1°
Sklon: 70,9°
VstupnĂ­ rychlost: 17,2 km/s
Rektascenze radiantu: 20:49 (312,4°)
Deklinace radiantu: 51,5°
MeteorickĂ˝ roj: sporadickĂ˝
Elementy dráhy meteoroidu:
Vzdálenost v periheliu: 0,967 AU
Excentricita: 0,467
Sklon dráhy: 19,5°
Délka vzestupného uzlu: 205,1°
Argument perihelia: 204,7°
Střední anomálie: 351,9°
Epocha: 2022 OCT 18 21:06:26
orbit plot

NeinteraktivnĂ­ graf | InteraktivnĂ­ graf

position vs time
speed and acceleration