🇳🇴 🇬🇧 🇩🇪 🇨🇿 🇫🇮

Meteor, poloha: Sauda 2022-10-18 21:06:27 UTC

Soubor KML  |  InteraktivnĂ­ mapa

Mapa zobrazuje dráhy meteoru. Světlejší čáry ukazují směry od pozorovacích stanic při objevení se meteoru a tmavší čáry, kde byl naposledy viděn. Modrá šipka značí viditelnou dráhu meteoru.

static map
height profile
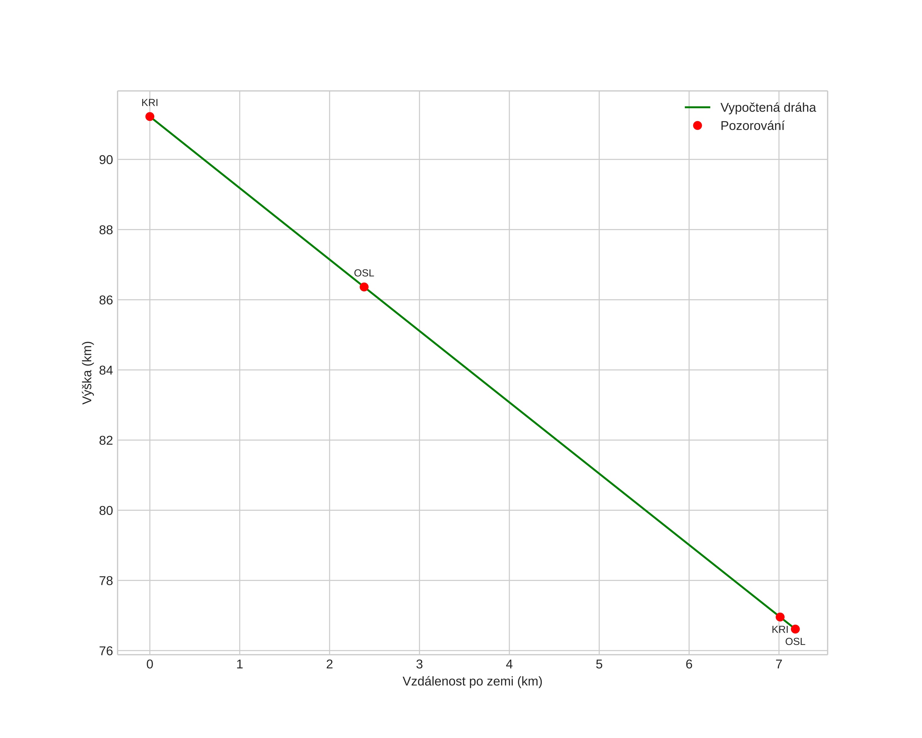
Atmosférická dráha meteoru:
Počáteční výška: 91,2 km
Konečná výška: 76,6 km
Počáteční poloha: 59,283N 6,677E
Konečná poloha: 59,287N 6,804E
Směr: 86,6°
Sklon: 63,7°
VstupnĂ­ rychlost: 19,5 km/s
Rektascenze radiantu: 20:16 (304,1°)
Deklinace radiantu: 47,0°
MeteorickĂ˝ roj: sporadickĂ˝
Elementy dráhy meteoroidu:
Vzdálenost v periheliu: 0,980 AU
Excentricita: 0,707
Sklon dráhy: 22,0°
Délka vzestupného uzlu: 205,2°
Argument perihelia: 196,1°
Střední anomálie: 358,0°
Epocha: 2022 OCT 18 21:06:27
orbit plot

NeinteraktivnĂ­ graf | InteraktivnĂ­ graf

position vs time
speed and acceleration