🇳🇴 🇬🇧 🇩🇪 🇨🇿 🇫🇮

Meteor, poloha: Lampeland 2022-10-22 20:44:31 UTC

Soubor KML  |  InteraktivnĂ­ mapa

Mapa zobrazuje dráhy meteoru. Světlejší čáry ukazují směry od pozorovacích stanic při objevení se meteoru a tmavší čáry, kde byl naposledy viděn. Modrá šipka značí viditelnou dráhu meteoru.

static map
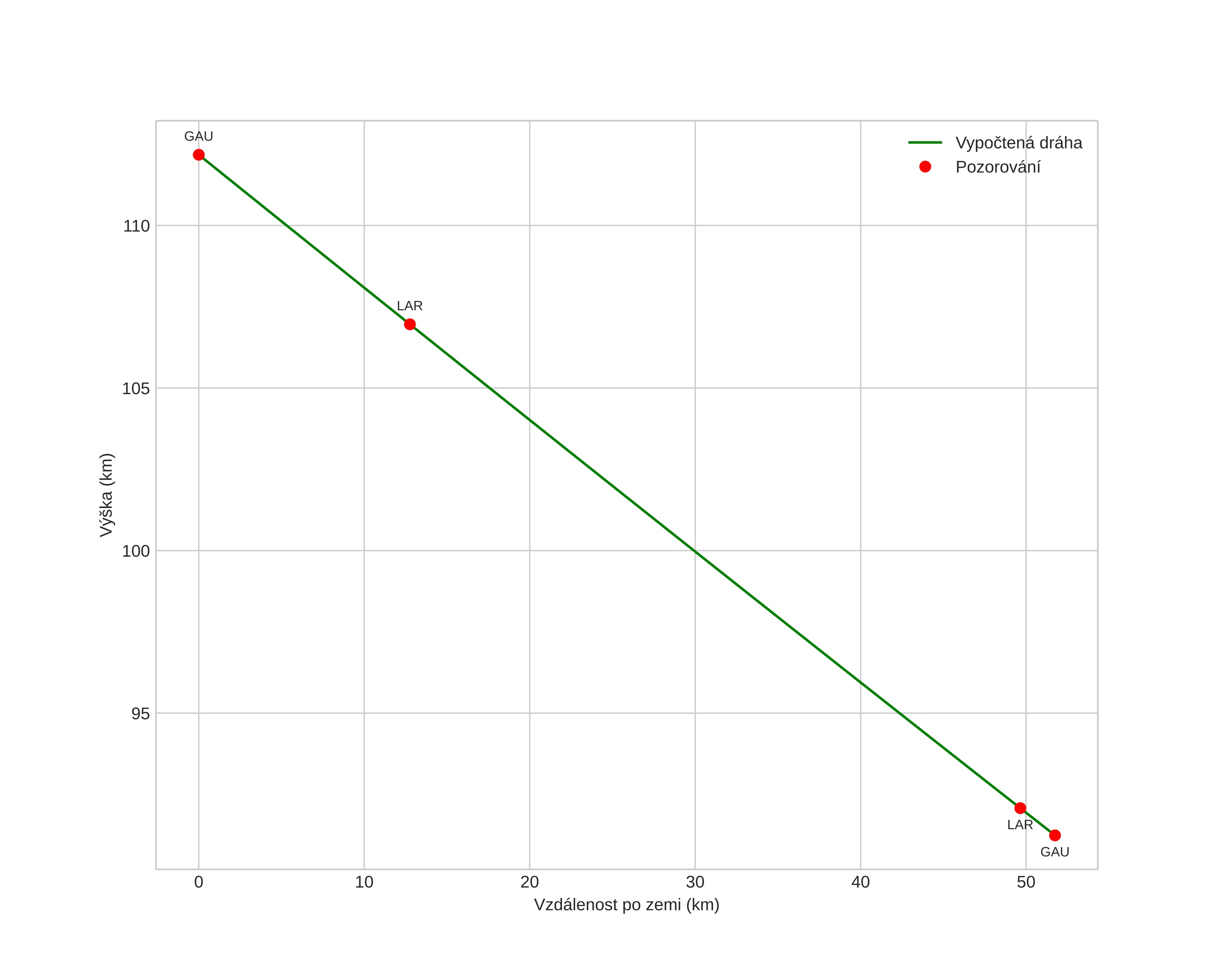
height profile
Atmosférická dráha meteoru:
Počáteční výška: 113,9 km
Konečná výška: 92,2 km
Počáteční poloha: 60,103N 10,488E
Konečná poloha: 59,858N 9,649E
Směr: 240,1°
Sklon: 21,9°
VstupnĂ­ rychlost: 66,9 km/s
Rektascenze radiantu: 06:31 (97,8°)
Deklinace radiantu: 33,3°
MeteorickĂ˝ roj: epsilon-geminidene
Elementy dráhy meteoroidu:
Vzdálenost v periheliu: 0,596 AU
Excentricita: 0,922
Sklon dráhy: 159,1°
Délka vzestupného uzlu: 209,1°
Argument perihelia: 260,6°
Střední anomálie: 358,1°
Epocha: 2022 OCT 22 20:44:31
orbit plot

NeinteraktivnĂ­ graf | InteraktivnĂ­ graf

position vs time
speed and acceleration