🇳🇴 🇬🇧 🇩🇪 🇨🇿 🇫🇮

Meteor, poloha: Setermoen 2022-10-24 20:50:16 UTC

Soubor KML  |  InteraktivnĂ­ mapa

Mapa zobrazuje dráhy meteoru. Světlejší čáry ukazují směry od pozorovacích stanic při objevení se meteoru a tmavší čáry, kde byl naposledy viděn. Modrá šipka značí viditelnou dráhu meteoru.

static map
height profile
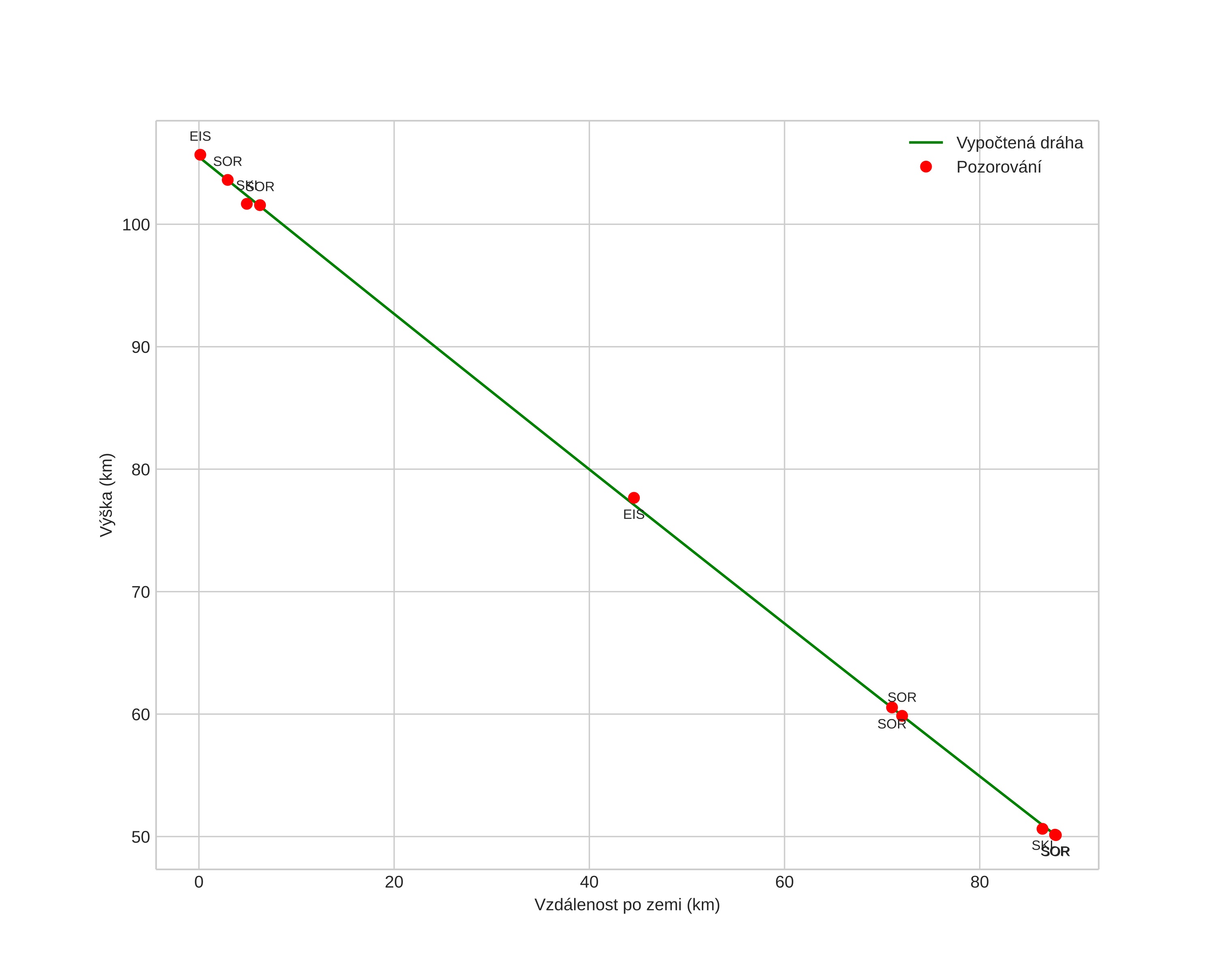
Atmosférická dráha meteoru:
Počáteční výška: 100,4 km
Konečná výška: 49,8 km
Počáteční poloha: 68,417N 19,648E
Konečná poloha: 68,908N 18,123E
Směr: 312,2°
Sklon: 31,6°
VstupnĂ­ rychlost: 35,3 km/s
Rektascenze radiantu: 03:05 (46,4°)
Deklinace radiantu: 14,4°
MeteorickĂ˝ roj: sporadickĂ˝
Elementy dráhy meteoroidu:
Vzdálenost v periheliu: 0,241 AU
Excentricita: 0,913
Sklon dráhy: 4,8°
Délka vzestupného uzlu: 31,1°
Argument perihelia: 125,9°
Střední anomálie: 351,8°
Epocha: 2022 OCT 24 20:50:16
orbit plot

NeinteraktivnĂ­ graf | InteraktivnĂ­ graf

position vs time
speed and acceleration