🇳🇴 🇬🇧 🇩🇪 🇨🇿 🇫🇮

Meteor, poloha: Røst 2022-10-25 01:52:27 UTC

Soubor KML  |  InteraktivnĂ­ mapa

Mapa zobrazuje dráhy meteoru. Světlejší čáry ukazují směry od pozorovacích stanic při objevení se meteoru a tmavší čáry, kde byl naposledy viděn. Modrá šipka značí viditelnou dráhu meteoru.

static map
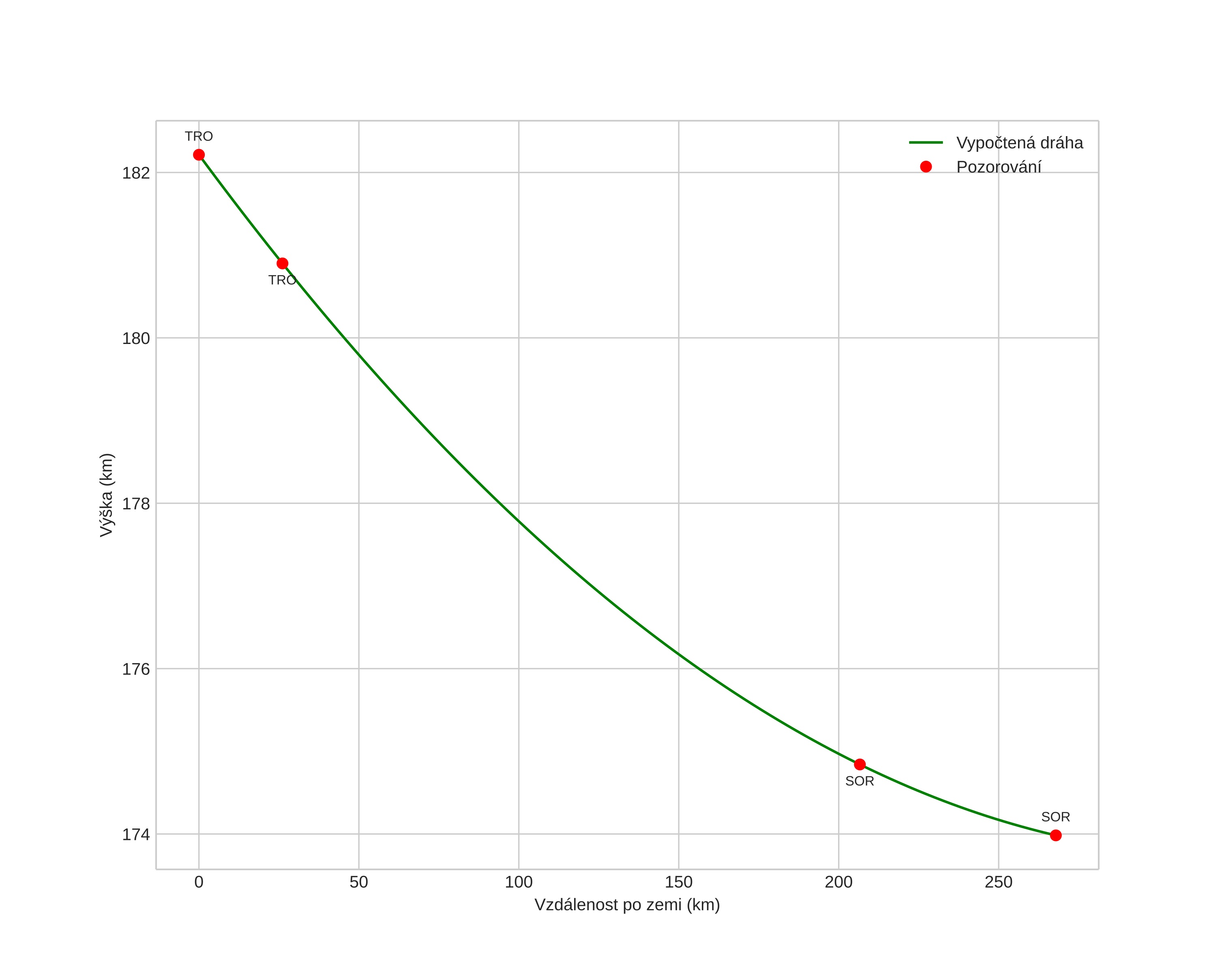
height profile
Atmosférická dráha meteoru:
Počáteční výška: 169,7 km
Konečná výška: 181,9 km
Počáteční poloha: 68,257N 16,267E
Konečná poloha: 67,139N 10,490E
Směr: 245,7°
Sklon: -2,6°
VstupnĂ­ rychlost: 73,0 km/s
Rektascenze radiantu: 12:45 (191,4°)
Deklinace radiantu: 5,9°
MeteorickĂ˝ roj: sporadickĂ˝
Elementy dráhy meteoroidu:
Vzdálenost v periheliu: 0,079 AU
Excentricita: 1,228
Sklon dráhy: 80,5°
Délka vzestupného uzlu: 211,3°
Argument perihelia: 47,9°
Střední anomálie: 106,6°
Epocha: 2022 OCT 25 01:52:27
orbit plot

NeinteraktivnĂ­ graf | InteraktivnĂ­ graf

position vs time
speed and acceleration