🇳🇴 🇬🇧 🇩🇪 🇨🇿 🇫🇮

Meteor, poloha: Setermoen 2022-10-25 19:04:20 UTC

Soubor KML  |  InteraktivnĂ­ mapa

Mapa zobrazuje dráhy meteoru. Světlejší čáry ukazují směry od pozorovacích stanic při objevení se meteoru a tmavší čáry, kde byl naposledy viděn. Modrá šipka značí viditelnou dráhu meteoru.

static map
height profile
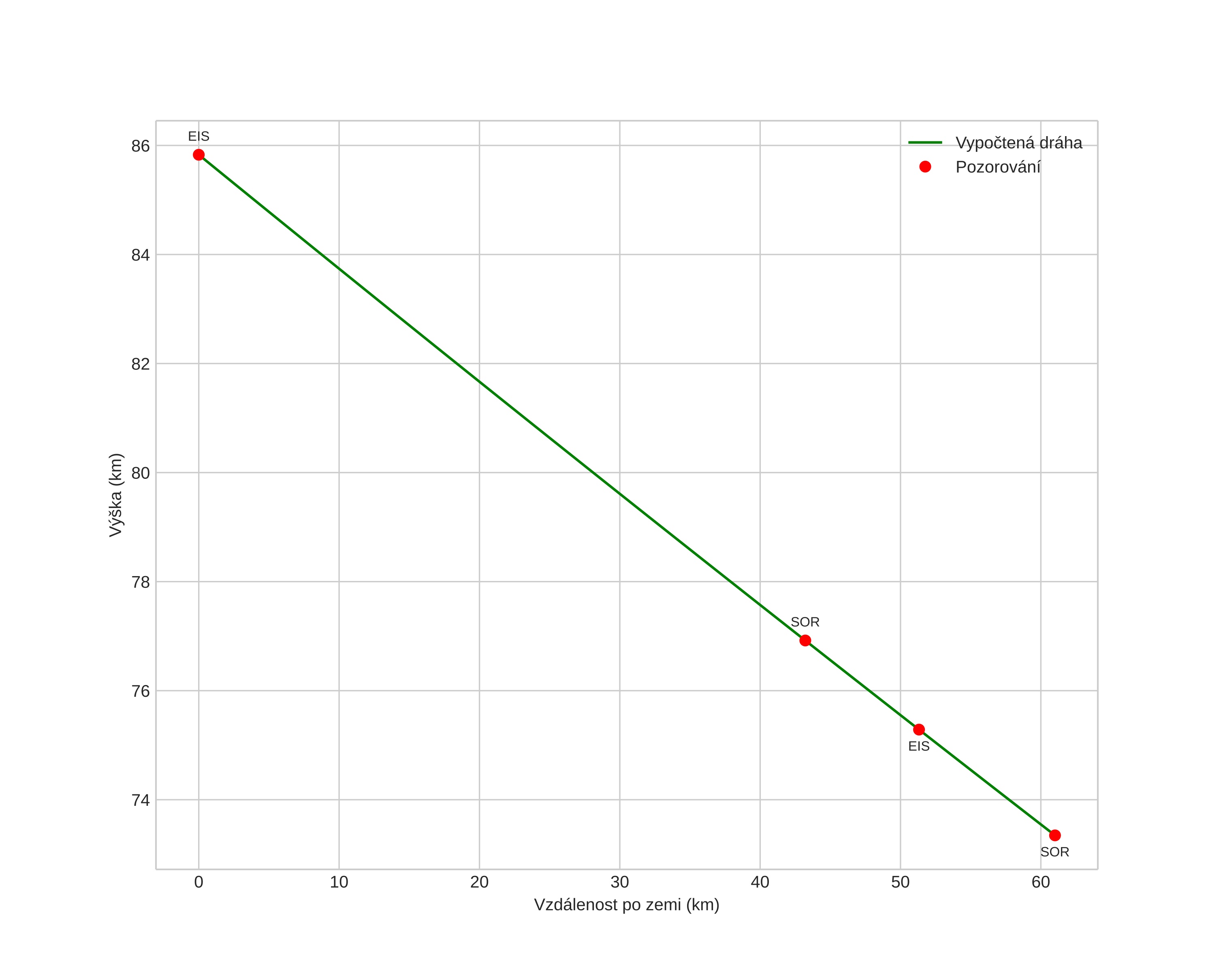
Atmosférická dráha meteoru:
Počáteční výška: 86,5 km
Konečná výška: 73,8 km
Počáteční poloha: 67,871N 19,735E
Konečná poloha: 68,146N 18,457E
Směr: 300,5°
Sklon: 11,7°
VstupnĂ­ rychlost: 24,4 km/s
Rektascenze radiantu: 02:34 (38,7°)
Deklinace radiantu: -5,3°
MeteorickĂ˝ roj: sporadickĂ˝
Elementy dráhy meteoroidu:
Vzdálenost v periheliu: 0,589 AU
Excentricita: 0,696
Sklon dráhy: 13,8°
Délka vzestupného uzlu: 32,0°
Argument perihelia: 89,6°
Střední anomálie: 342,9°
Epocha: 2022 OCT 25 19:04:20
orbit plot

NeinteraktivnĂ­ graf | InteraktivnĂ­ graf

position vs time
speed and acceleration