🇳🇴 🇬🇧 🇩🇪 🇨🇿 🇫🇮

Meteor, poloha: Vikersund 2022-10-29 22:39:58 UTC

Soubor KML  |  InteraktivnĂ­ mapa

Mapa zobrazuje dráhy meteoru. Světlejší čáry ukazují směry od pozorovacích stanic při objevení se meteoru a tmavší čáry, kde byl naposledy viděn. Modrá šipka značí viditelnou dráhu meteoru.

static map
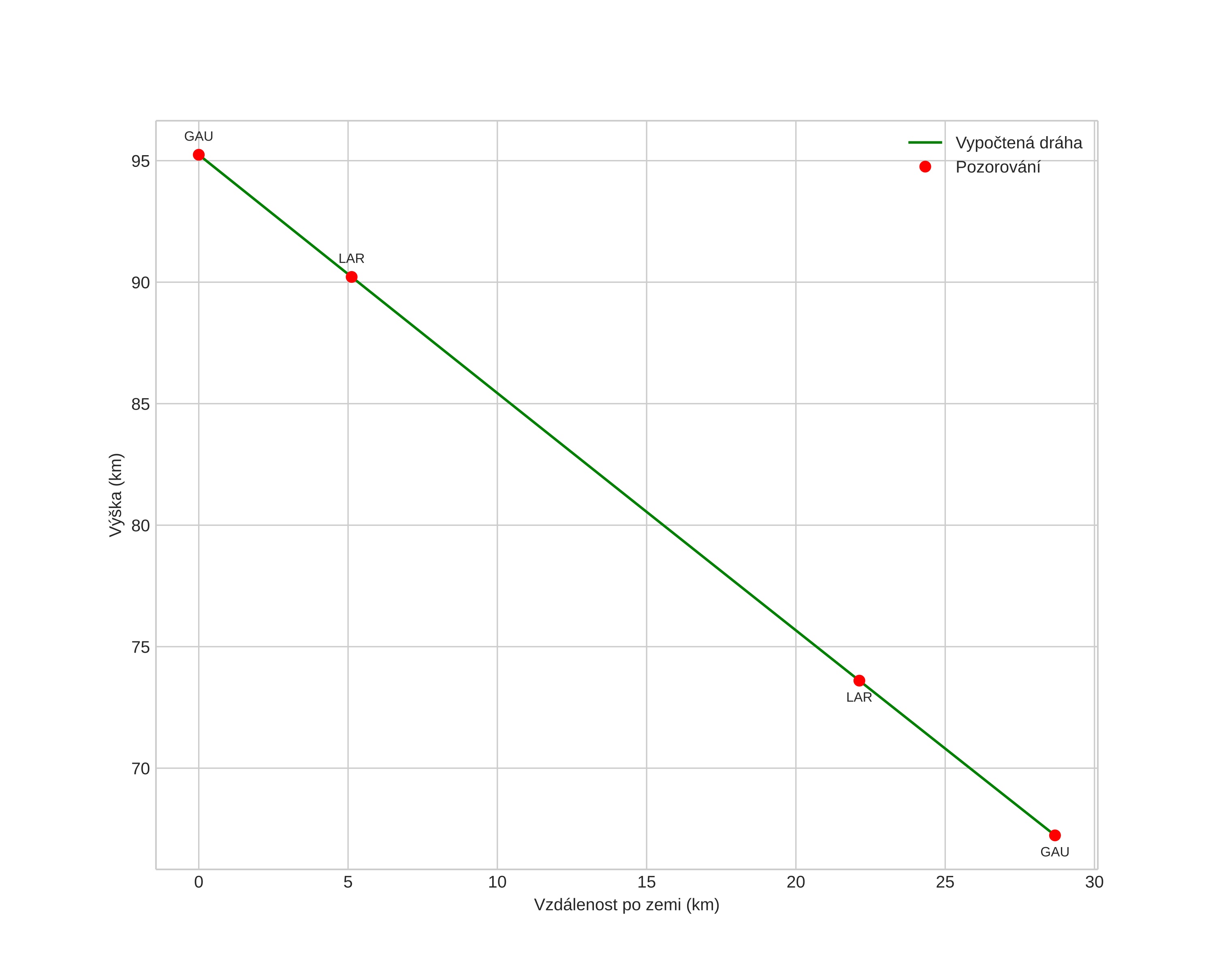
height profile
Atmosférická dráha meteoru:
Počáteční výška: 99,1 km
Konečná výška: 67,0 km
Počáteční poloha: 59,811N 10,212E
Konečná poloha: 60,065N 9,912E
Směr: 329,5°
Sklon: 44,3°
VstupnĂ­ rychlost: 35,3 km/s
Rektascenze radiantu: 03:21 (50,3°)
Deklinace radiantu: 15,8°
MeteorickĂ˝ roj: sporadickĂ˝
Elementy dráhy meteoroidu:
Vzdálenost v periheliu: 0,254 AU
Excentricita: 0,919
Sklon dráhy: 4,1°
Délka vzestupného uzlu: 36,2°
Argument perihelia: 123,7°
Střední anomálie: 353,2°
Epocha: 2022 OCT 29 22:39:58
orbit plot

NeinteraktivnĂ­ graf | InteraktivnĂ­ graf

position vs time
speed and acceleration

Larvik (LAR) cam1


gnomonic
Videa
• Gnomonická
• Gnomonická se souřadnicemi
• Původní
• Původní se souřadnicemi
Obrázky
• Gnomonická
• Gnomonická se souřadnicemi
• Původní
• Původní se souřadnicemi
Textové soubory
• Detekce
• Pozorování
• Souřadnice
• Chybová hlášení
• Protokol
Jasnost