🇳🇴 🇬🇧 🇩🇪 🇨🇿 🇫🇮

Meteor Harboøren yllä 2022-10-29 23:52:23 UTC

KML-tiedosto  |  Interaktiivinen kartta

Kartta näyttää meteorin suuntahavainnot. Vaaleammat viivat näyttävät suunnat havaintoasemilta meteorin ilmestyessä, ja tummemmat viivat näyttävät, missä se viimeksi nähtiin. Sininen nuoli näyttää meteorin näkyvän lennon.

static map
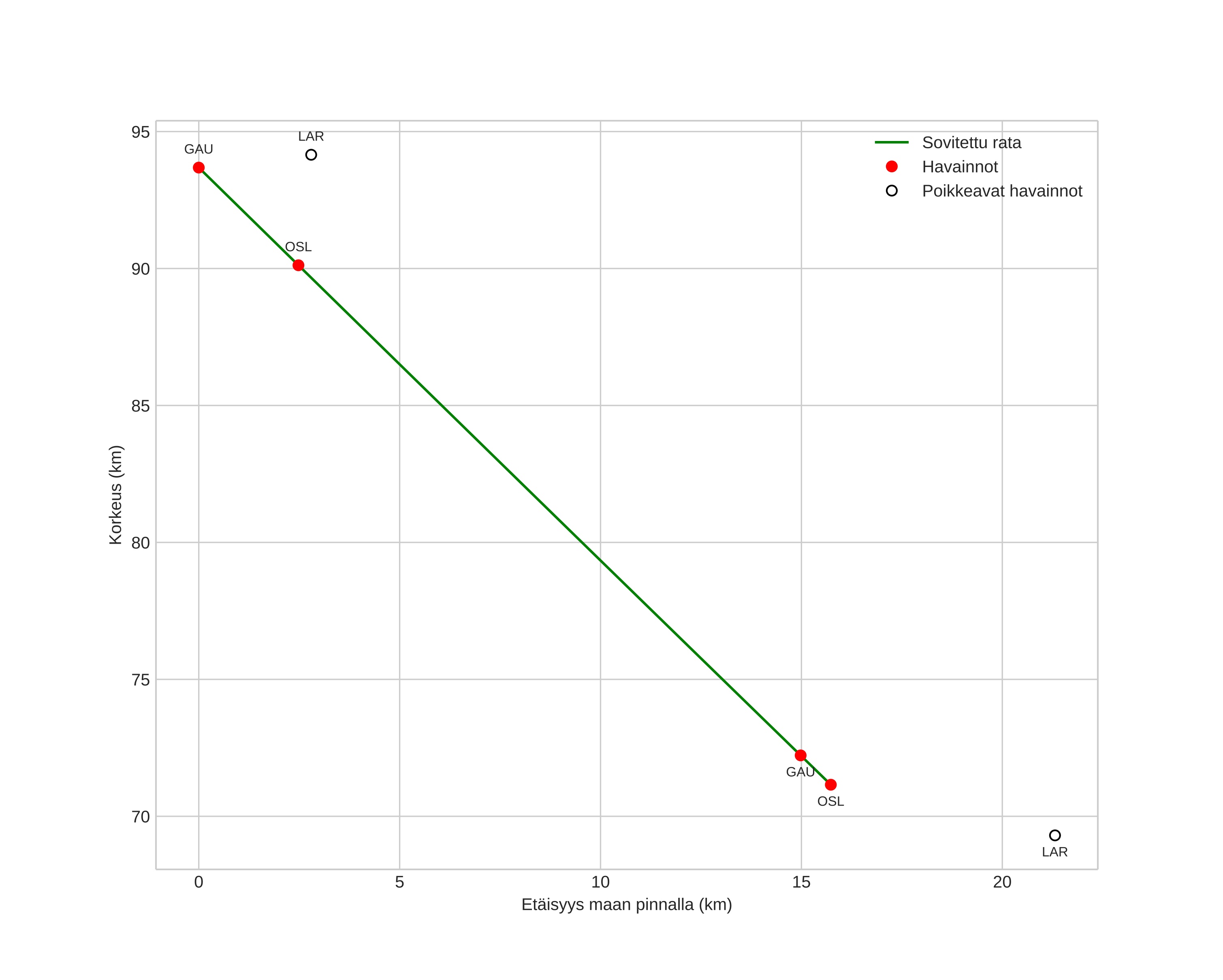
height profile
Meteorin ilmakehärata:
Alkukorkeus: 98,4 km
Loppukorkeus: 73,3 km
Alkupiste: 56,878N 6,843E
Loppupiste: 56,733N 7,043E
Suunta: 142,8°
Kallistuskulma: 51,2°
Tulonopeus: 30,8 km/s
Radiantin R,A,: 20:45 (311,3°)
Radiantin Dekl,: 66,4°
Meteoriparvi: Sporadinen
Meteoroidin rataelementit:
Perihelietäisyys: 0,960 AU
Eksentrisyys: 1,104
Inklinaatio: 40,5°
Nousevan solmun pituus: 216,2°
Perihelin argumentti: 200,6°
Keskianomalia: -0,5°
Epookki: 2022 OCT 29 23:52:23
orbit plot

Ei-interaktiivinen kuvaaja | Interaktiivinen kuvaaja

position vs time
speed and acceleration