🇳🇴 🇬🇧 🇩🇪 🇨🇿 🇫🇮

Meteor, poloha: Föglö 2022-10-30 03:54:06 UTC

Soubor KML  |  InteraktivnĂ­ mapa

Mapa zobrazuje dráhy meteoru. Světlejší čáry ukazují směry od pozorovacích stanic při objevení se meteoru a tmavší čáry, kde byl naposledy viděn. Modrá šipka značí viditelnou dráhu meteoru.

static map
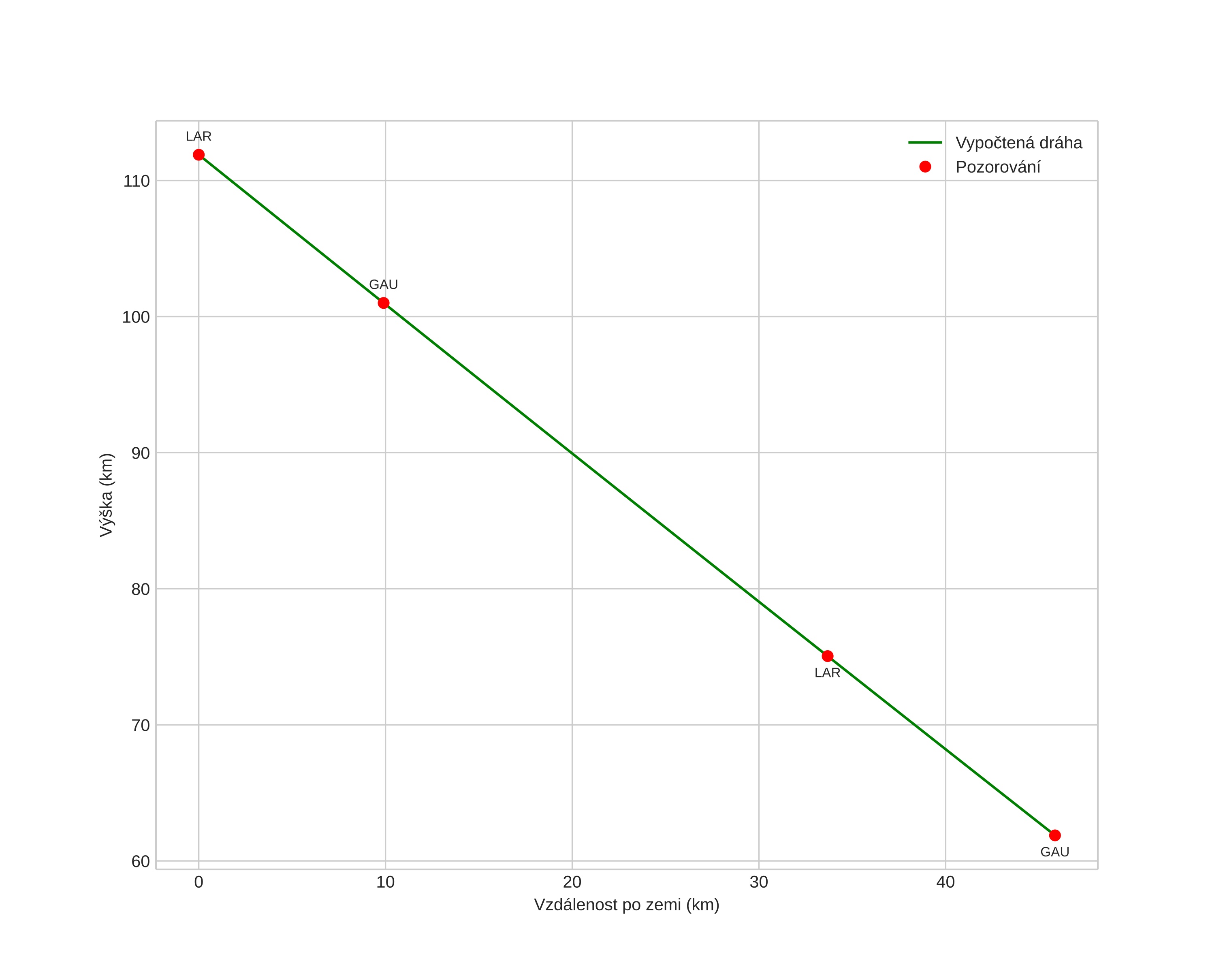
height profile
Atmosférická dráha meteoru:
Počáteční výška: 111,9 km
Konečná výška: 61,9 km
Počáteční poloha: 58,300N 21,019E
Konečná poloha: 58,512N 20,344E
Směr: 301,2°
Sklon: 47,5°
VstupnĂ­ rychlost: 94,3 km/s
Rektascenze radiantu: 10:30 (157,6°)
Deklinace radiantu: 26,2°
MeteorickĂ˝ roj: sporadickĂ˝
Elementy dráhy meteoroidu:
Vzdálenost v periheliu: 0,821 AU
Excentricita: 3,636
Sklon dráhy: 154,5°
Délka vzestupného uzlu: 216,4°
Argument perihelia: 141,2°
Střední anomálie: 88,0°
Epocha: 2022 OCT 30 03:54:06
orbit plot

NeinteraktivnĂ­ graf | InteraktivnĂ­ graf

position vs time
speed and acceleration

Gaustatoppen (GAU) cam3


gnomonic
Videa
• Gnomonická
• Gnomonická se souřadnicemi
• Původní
• Původní se souřadnicemi
Obrázky
• Gnomonická
• Gnomonická se souřadnicemi
• Gnomonická s popisky
• Původní
• Původní se souřadnicemi
Textové soubory
• Detekce
• Pozorování
• Souřadnice
• Protokol
Jasnost