🇳🇴 🇬🇧 🇩🇪 🇨🇿 🇫🇮

Meteor, poloha: Kimstad 2022-10-30 03:54:10 UTC

Soubor KML  |  InteraktivnĂ­ mapa

Mapa zobrazuje dráhy meteoru. Světlejší čáry ukazují směry od pozorovacích stanic při objevení se meteoru a tmavší čáry, kde byl naposledy viděn. Modrá šipka značí viditelnou dráhu meteoru.

static map
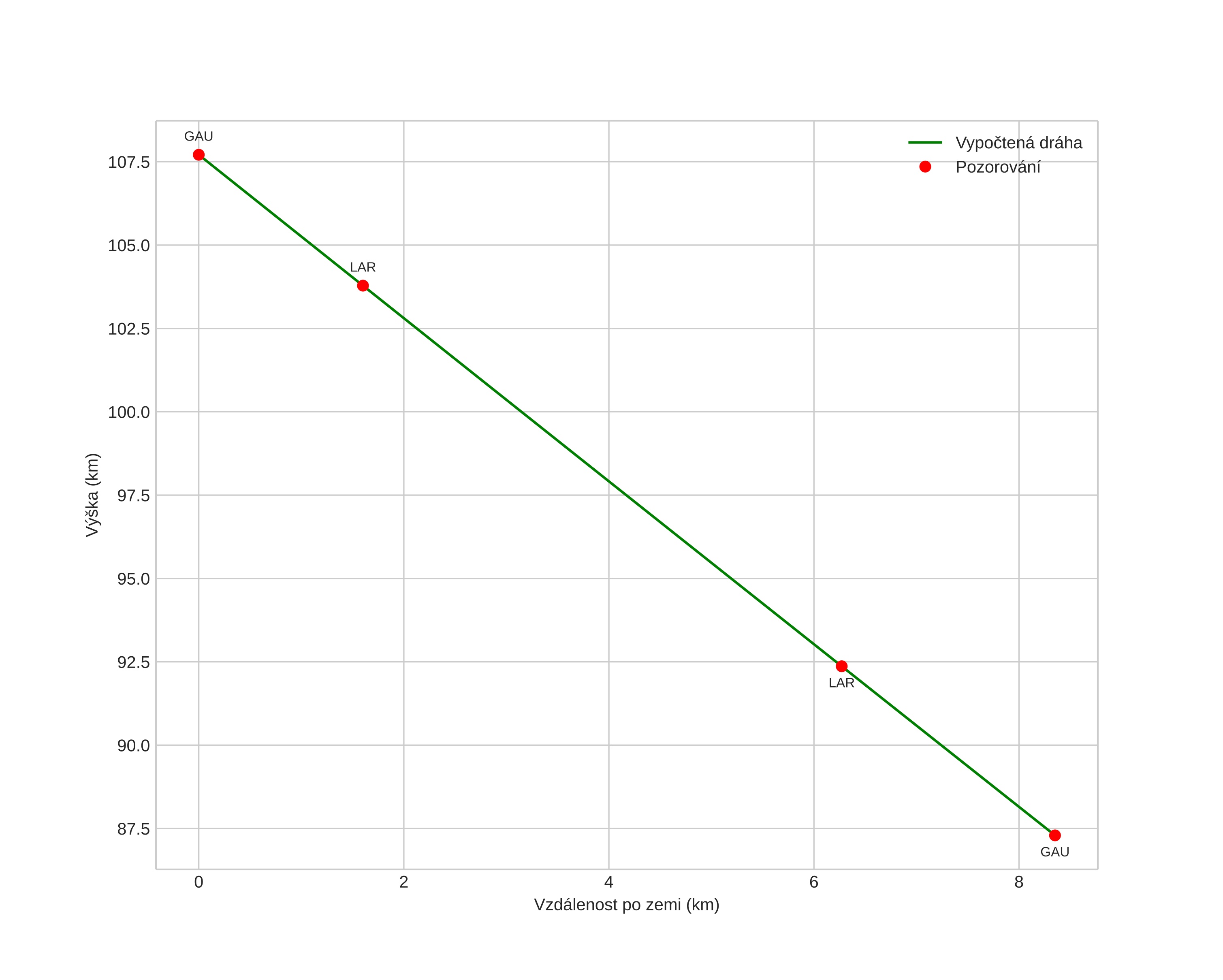
height profile
Atmosférická dráha meteoru:
Počáteční výška: 107,7 km
Konečná výška: 87,3 km
Počáteční poloha: 58,551N 16,062E
Konečná poloha: 58,605N 15,961E
Směr: 315,9°
Sklon: 67,7°
VstupnĂ­ rychlost: 73,0 km/s
Rektascenze radiantu: 08:50 (132,7°)
Deklinace radiantu: 40,2°
MeteorickĂ˝ roj: sporadickĂ˝
Elementy dráhy meteoroidu:
Vzdálenost v periheliu: 0,988 AU
Excentricita: 1,333
Sklon dráhy: 144,2°
Délka vzestupného uzlu: 216,4°
Argument perihelia: 187,6°
Střední anomálie: -1,0°
Epocha: 2022 OCT 30 03:54:10
orbit plot

NeinteraktivnĂ­ graf | InteraktivnĂ­ graf

position vs time
speed and acceleration

Gaustatoppen (GAU) cam3


gnomonic
Videa
• Gnomonická
• Gnomonická se souřadnicemi
• Původní
• Původní se souřadnicemi
Obrázky
• Gnomonická
• Gnomonická se souřadnicemi
• Gnomonická s popisky
• Původní
• Původní se souřadnicemi
Textové soubory
• Detekce
• Pozorování
• Souřadnice
• Protokol
Jasnost