🇳🇴 🇬🇧 🇩🇪 🇨🇿 🇫🇮

Meteor, poloha: Säffle 2022-10-30 03:54:11 UTC

Soubor KML  |  InteraktivnĂ­ mapa

Mapa zobrazuje dráhy meteoru. Světlejší čáry ukazují směry od pozorovacích stanic při objevení se meteoru a tmavší čáry, kde byl naposledy viděn. Modrá šipka značí viditelnou dráhu meteoru.

static map
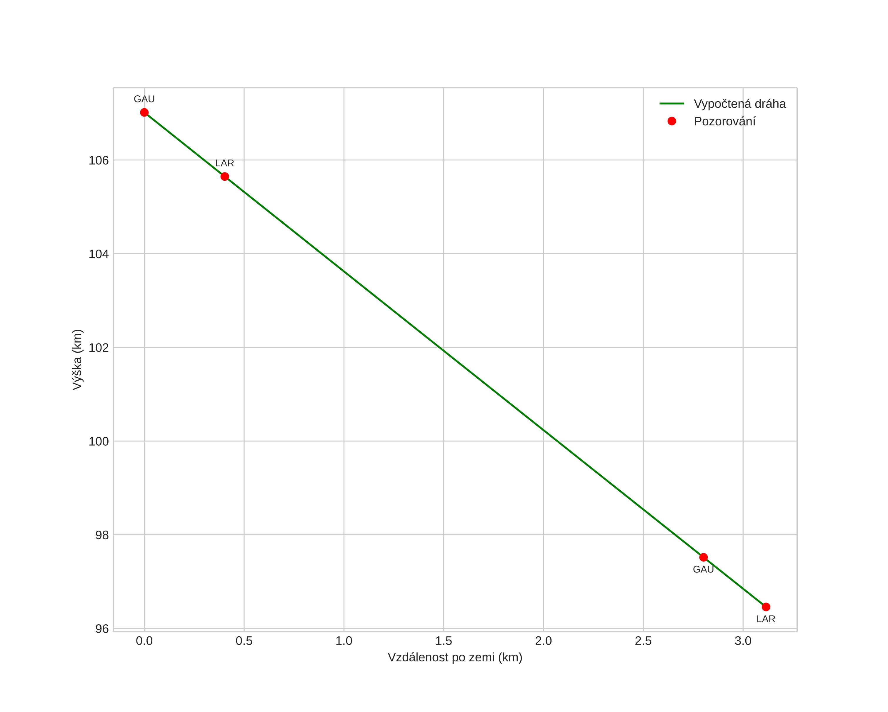
height profile
Atmosférická dráha meteoru:
Počáteční výška: 107,0 km
Konečná výška: 96,5 km
Počáteční poloha: 58,793N 12,995E
Konečná poloha: 58,816N 12,966E
Směr: 327,8°
Sklon: 73,5°
VstupnĂ­ rychlost: 72,7 km/s
Rektascenze radiantu: 08:05 (121,4°)
Deklinace radiantu: 43,9°
MeteorickĂ˝ roj: sporadickĂ˝
Elementy dráhy meteoroidu:
Vzdálenost v periheliu: 0,912 AU
Excentricita: 1,421
Sklon dráhy: 140,9°
Délka vzestupného uzlu: 216,4°
Argument perihelia: 210,7°
Střední anomálie: -5,7°
Epocha: 2022 OCT 30 03:54:11
orbit plot

NeinteraktivnĂ­ graf | InteraktivnĂ­ graf

position vs time
speed and acceleration

Gaustatoppen (GAU) cam3


gnomonic
Videa
• Gnomonická
• Gnomonická se souřadnicemi
• Původní
• Původní se souřadnicemi
Obrázky
• Gnomonická
• Gnomonická se souřadnicemi
• Gnomonická s popisky
• Původní
• Původní se souřadnicemi
Textové soubory
• Detekce
• Pozorování
• Souřadnice
• Protokol
Jasnost