🇳🇴 🇬🇧 🇩🇪 🇨🇿 🇫🇮

Meteor, poloha: Bergset 2022-10-30 04:23:39 UTC

Soubor KML  |  InteraktivnĂ­ mapa

Mapa zobrazuje dráhy meteoru. Světlejší čáry ukazují směry od pozorovacích stanic při objevení se meteoru a tmavší čáry, kde byl naposledy viděn. Modrá šipka značí viditelnou dráhu meteoru.

static map
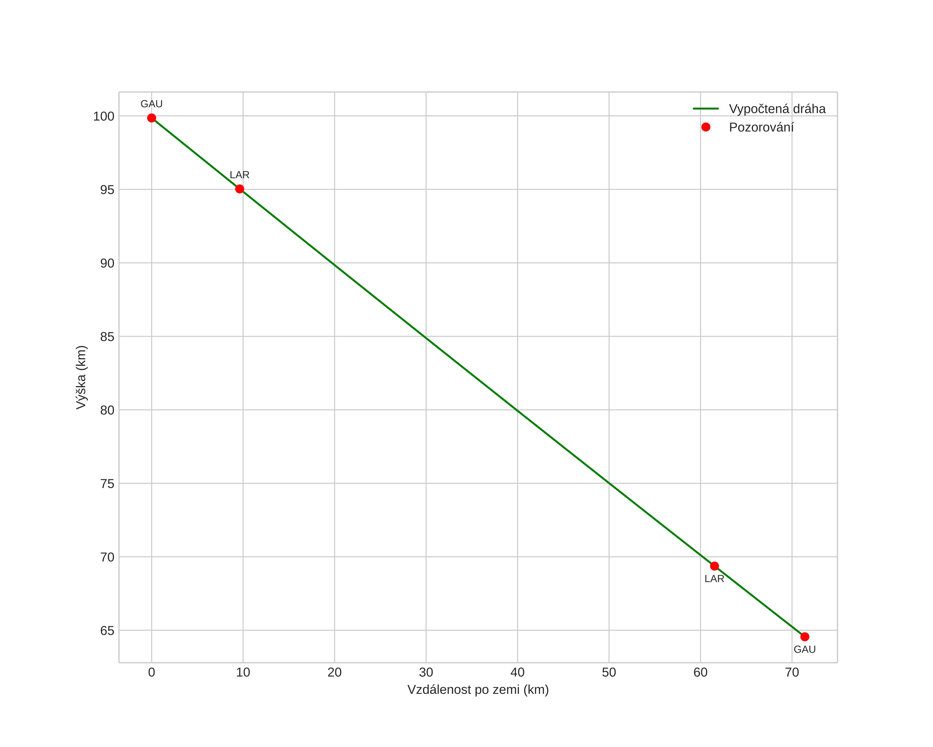
height profile
Atmosférická dráha meteoru:
Počáteční výška: 100,2 km
Konečná výška: 64,4 km
Počáteční poloha: 61,614N 9,928E
Konečná poloha: 61,806N 11,240E
Směr: 72,3°
Sklon: 26,3°
VstupnĂ­ rychlost: 32,8 km/s
Rektascenze radiantu: 03:22 (50,6°)
Deklinace radiantu: 13,0°
MeteorickĂ˝ roj: SevernĂ­ Tauridy
Elementy dráhy meteoroidu:
Vzdálenost v periheliu: 0,289 AU
Excentricita: 0,876
Sklon dráhy: 7,5°
Délka vzestupného uzlu: 36,4°
Argument perihelia: 121,1°
Střední anomálie: 348,9°
Epocha: 2022 OCT 30 04:23:39
orbit plot

NeinteraktivnĂ­ graf | InteraktivnĂ­ graf

position vs time
speed and acceleration