🇳🇴 🇬🇧 🇩🇪 🇨🇿 🇫🇮

Meteor, poloha: Langesund 2022-10-31 22:34:20 UTC

Soubor KML  |  InteraktivnĂ­ mapa

Mapa zobrazuje dráhy meteoru. Světlejší čáry ukazují směry od pozorovacích stanic při objevení se meteoru a tmavší čáry, kde byl naposledy viděn. Modrá šipka značí viditelnou dráhu meteoru.

static map
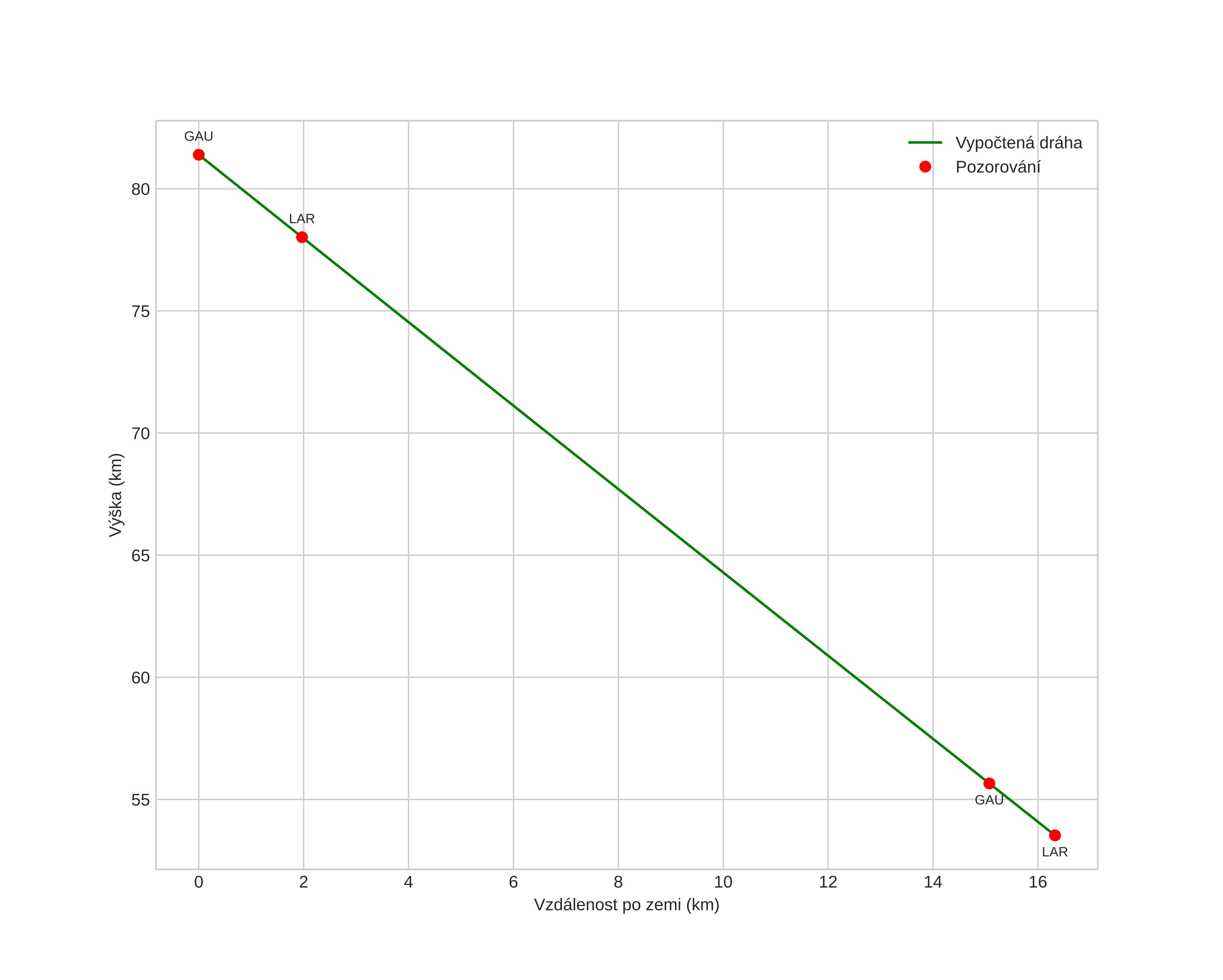
height profile
Atmosférická dráha meteoru:
Počáteční výška: 81,5 km
Konečná výška: 54,0 km
Počáteční poloha: 58,463N 9,534E
Konečná poloha: 58,474N 9,810E
Směr: 85,5°
Sklon: 59,6°
VstupnĂ­ rychlost: 18,3 km/s
Rektascenze radiantu: 22:30 (337,7°)
Deklinace radiantu: 42,5°
MeteorickĂ˝ roj: sporadickĂ˝
Elementy dráhy meteoroidu:
Vzdálenost v periheliu: 0,934 AU
Excentricita: 0,683
Sklon dráhy: 16,6°
Délka vzestupného uzlu: 218,2°
Argument perihelia: 211,4°
Střední anomálie: 355,5°
Epocha: 2022 OCT 31 22:34:20
orbit plot

NeinteraktivnĂ­ graf | InteraktivnĂ­ graf

position vs time
speed and acceleration