🇳🇴 🇬🇧 🇩🇪 🇨🇿 🇫🇮

Meteor, poloha: Høyanger 2022-10-31 23:01:58 UTC

Soubor KML  |  InteraktivnĂ­ mapa

Mapa zobrazuje dráhy meteoru. Světlejší čáry ukazují směry od pozorovacích stanic při objevení se meteoru a tmavší čáry, kde byl naposledy viděn. Modrá šipka značí viditelnou dráhu meteoru.

static map
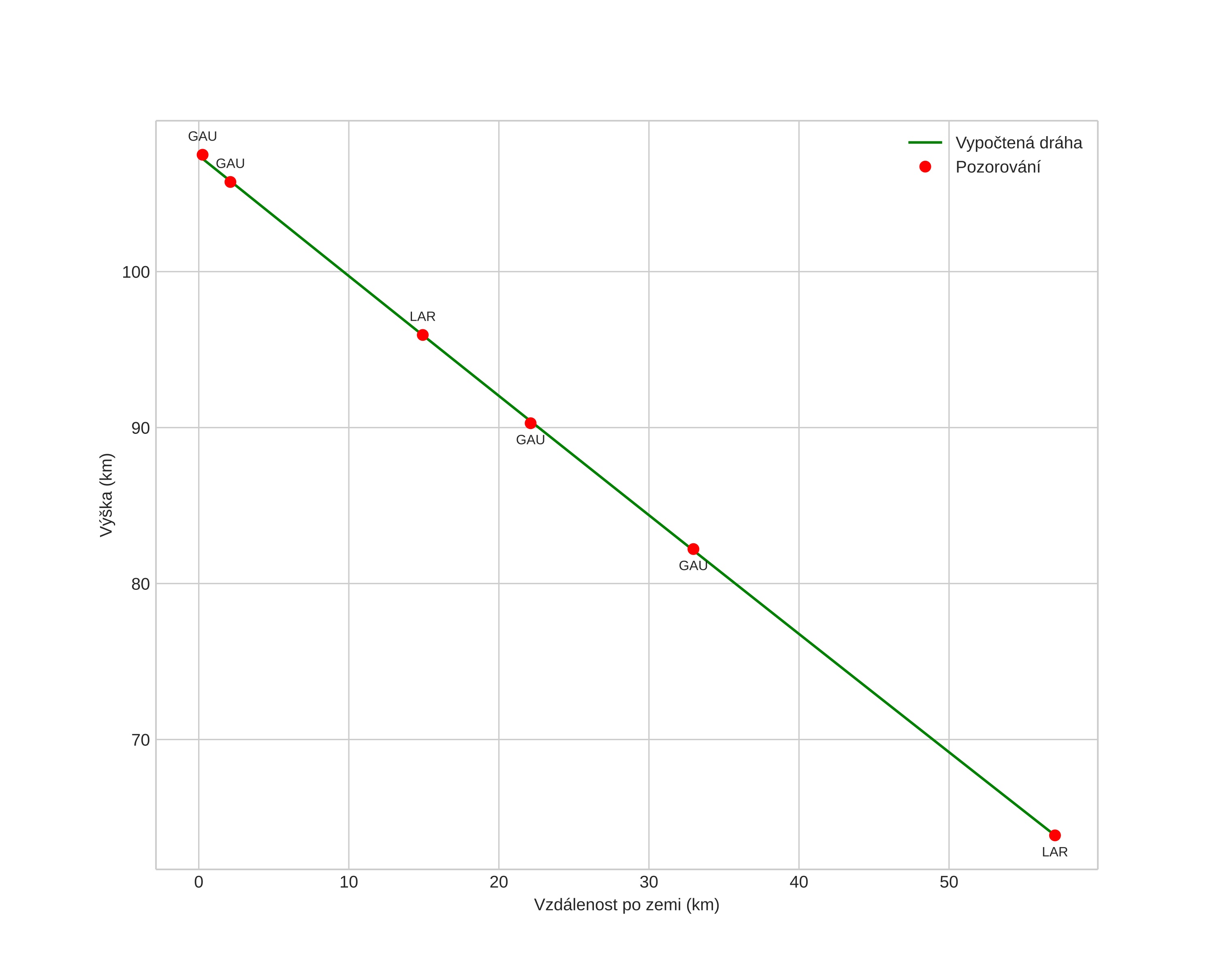
height profile
Atmosférická dráha meteoru:
Počáteční výška: 108,2 km
Konečná výška: 61,8 km
Počáteční poloha: 60,939N 6,331E
Konečná poloha: 61,310N 5,962E
Směr: 334,5°
Sklon: 45,4°
VstupnĂ­ rychlost: 31,7 km/s
Rektascenze radiantu: 03:20 (50,1°)
Deklinace radiantu: 16,7°
MeteorickĂ˝ roj: SevernĂ­ Tauridy
Elementy dráhy meteoroidu:
Vzdálenost v periheliu: 0,314 AU
Excentricita: 0,855
Sklon dráhy: 2,1°
Délka vzestupného uzlu: 38,2°
Argument perihelia: 118,8°
Střední anomálie: 347,2°
Epocha: 2022 OCT 31 23:01:58
orbit plot

NeinteraktivnĂ­ graf | InteraktivnĂ­ graf

position vs time
speed and acceleration