🇳🇴 🇬🇧 🇩🇪 🇨🇿 🇫🇮

Meteor Kautokeinon yllä 2022-11-01 23:54:36 UTC

KML-tiedosto  |  Interaktiivinen kartta

Kartta näyttää meteorin suuntahavainnot. Vaaleammat viivat näyttävät suunnat havaintoasemilta meteorin ilmestyessä, ja tummemmat viivat näyttävät, missä se viimeksi nähtiin. Sininen nuoli näyttää meteorin näkyvän lennon.

static map
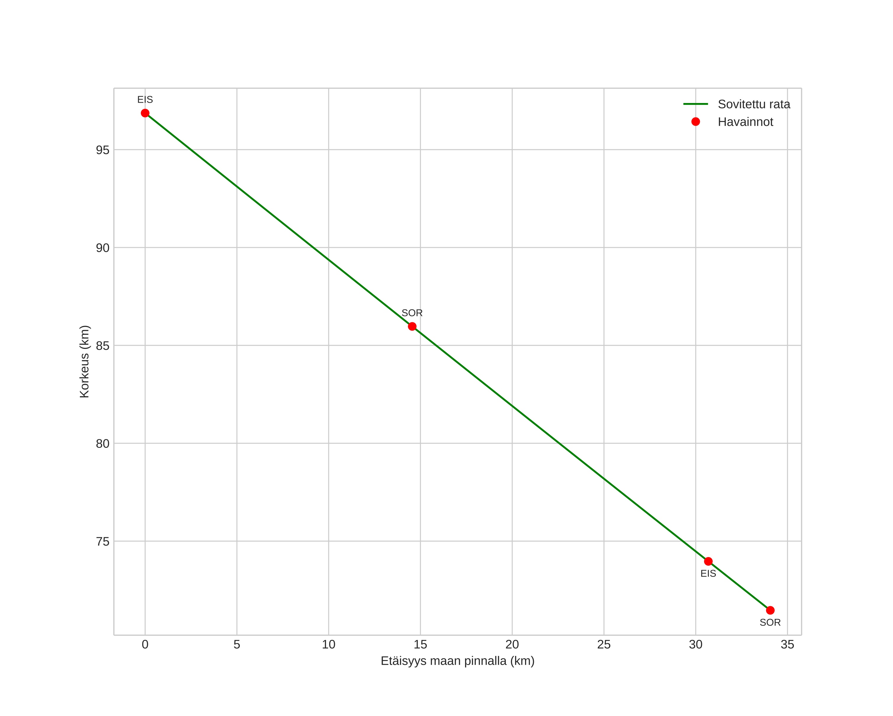
height profile
Meteorin ilmakehärata:
Alkukorkeus: 97,9 km
Loppukorkeus: 71,4 km
Alkupiste: 68,343N 22,641E
Loppupiste: 68,640N 22,912E
Suunta: 18,4°
Kallistuskulma: 37,3°
Tulonopeus: 32,9 km/s
Radiantin R,A,: 03:05 (46,5°)
Radiantin Dekl,: 14,7°
Meteoriparvi: Pohjoiset tauridit
Meteoroidin rataelementit:
Perihelietäisyys: 0,367 AU
Eksentrisyys: 0,924
Inklinaatio: 3,3°
Nousevan solmun pituus: 39,3°
Perihelin argumentti: 108,1°
Keskianomalia: 356,3°
Epookki: 2022 NOV 01 23:54:36
orbit plot

Ei-interaktiivinen kuvaaja | Interaktiivinen kuvaaja

position vs time
speed and acceleration