🇳🇴 🇬🇧 🇩🇪 🇨🇿 🇫🇮

Meteor, poloha: Andenes 2022-11-02 17:09:46 UTC

Soubor KML  |  InteraktivnĂ­ mapa

Mapa zobrazuje dráhy meteoru. Světlejší čáry ukazují směry od pozorovacích stanic při objevení se meteoru a tmavší čáry, kde byl naposledy viděn. Modrá šipka značí viditelnou dráhu meteoru.

static map
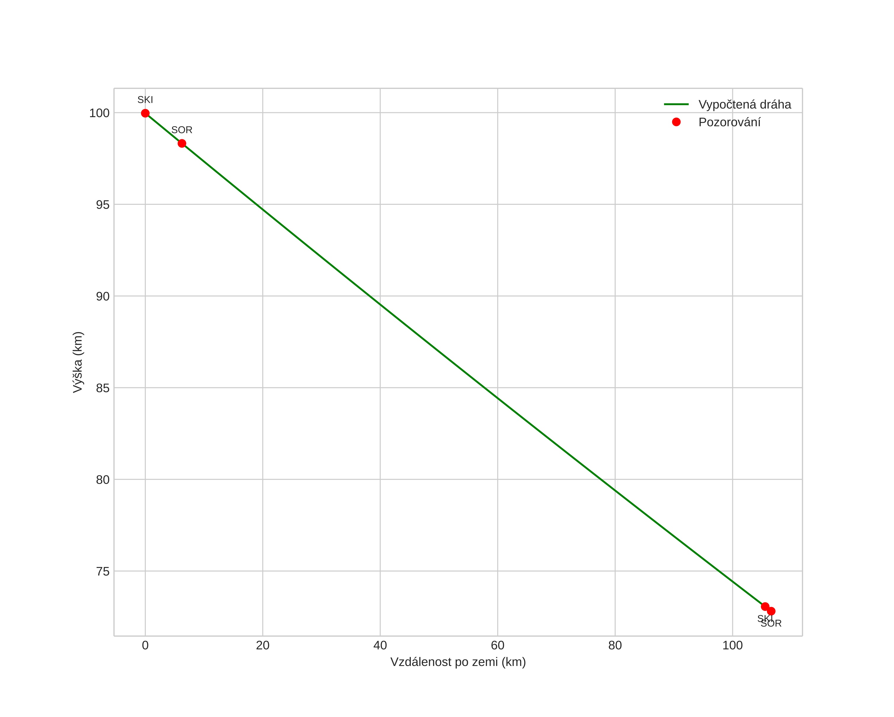
height profile
Atmosférická dráha meteoru:
Počáteční výška: 100,7 km
Konečná výška: 72,8 km
Počáteční poloha: 70,184N 19,367E
Konečná poloha: 70,014N 16,601E
Směr: 261,0°
Sklon: 14,7°
VstupnĂ­ rychlost: 32,1 km/s
Rektascenze radiantu: 03:30 (52,7°)
Deklinace radiantu: 14,2°
MeteorickĂ˝ roj: JiĹľnĂ­ Tauridy
Elementy dráhy meteoroidu:
Vzdálenost v periheliu: 0,314 AU
Excentricita: 0,860
Sklon dráhy: 6,2°
Délka vzestupného uzlu: 40,0°
Argument perihelia: 118,6°
Střední anomálie: 348,0°
Epocha: 2022 NOV 02 17:09:46
orbit plot

NeinteraktivnĂ­ graf | InteraktivnĂ­ graf

position vs time
speed and acceleration