🇳🇴 🇬🇧 🇩🇪 🇨🇿 🇫🇮

Meteor, poloha: Myra 2022-11-02 20:42:51 UTC

Soubor KML  |  InteraktivnĂ­ mapa

Mapa zobrazuje dráhy meteoru. Světlejší čáry ukazují směry od pozorovacích stanic při objevení se meteoru a tmavší čáry, kde byl naposledy viděn. Modrá šipka značí viditelnou dráhu meteoru.

static map
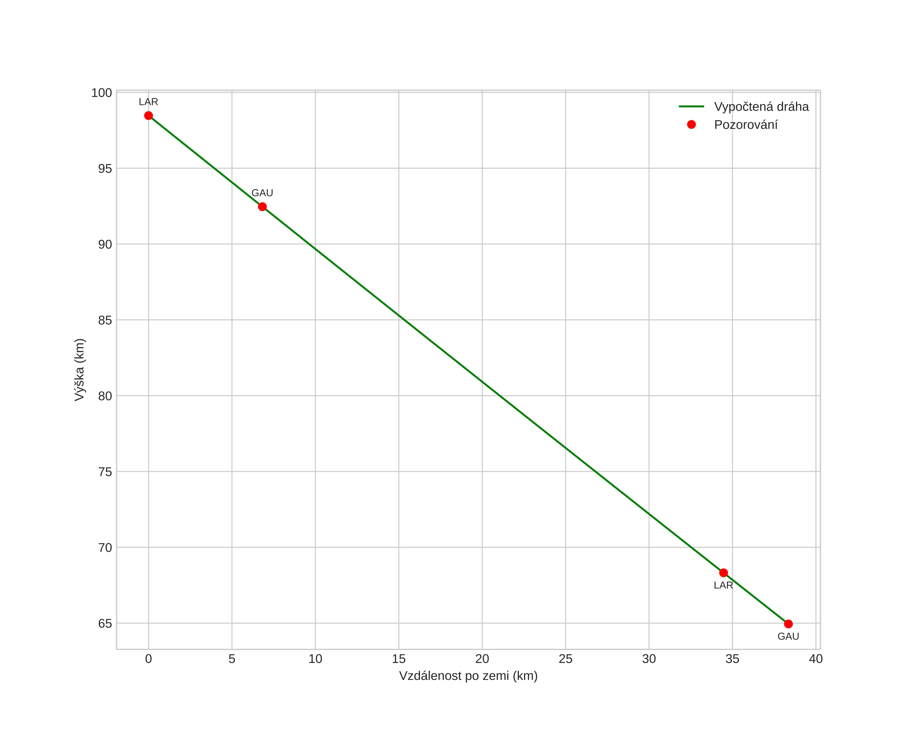
height profile
Atmosférická dráha meteoru:
Počáteční výška: 97,9 km
Konečná výška: 68,0 km
Počáteční poloha: 58,681N 9,351E
Konečná poloha: 58,804N 8,806E
Směr: 293,8°
Sklon: 41,1°
VstupnĂ­ rychlost: 32,9 km/s
Rektascenze radiantu: 03:24 (51,2°)
Deklinace radiantu: 22,4°
MeteorickĂ˝ roj: SevernĂ­ Tauridy
Elementy dráhy meteoroidu:
Vzdálenost v periheliu: 0,298 AU
Excentricita: 0,875
Sklon dráhy: 4,9°
Délka vzestupného uzlu: 220,1°
Argument perihelia: 299,9°
Střední anomálie: 349,2°
Epocha: 2022 NOV 02 20:42:51
orbit plot

NeinteraktivnĂ­ graf | InteraktivnĂ­ graf

position vs time
speed and acceleration