🇳🇴 🇬🇧 🇩🇪 🇨🇿 🇫🇮

Meteor, poloha: Sandane 2022-11-02 22:04:46 UTC

Soubor KML  |  InteraktivnĂ­ mapa

Mapa zobrazuje dráhy meteoru. Světlejší čáry ukazují směry od pozorovacích stanic při objevení se meteoru a tmavší čáry, kde byl naposledy viděn. Modrá šipka značí viditelnou dráhu meteoru.

static map
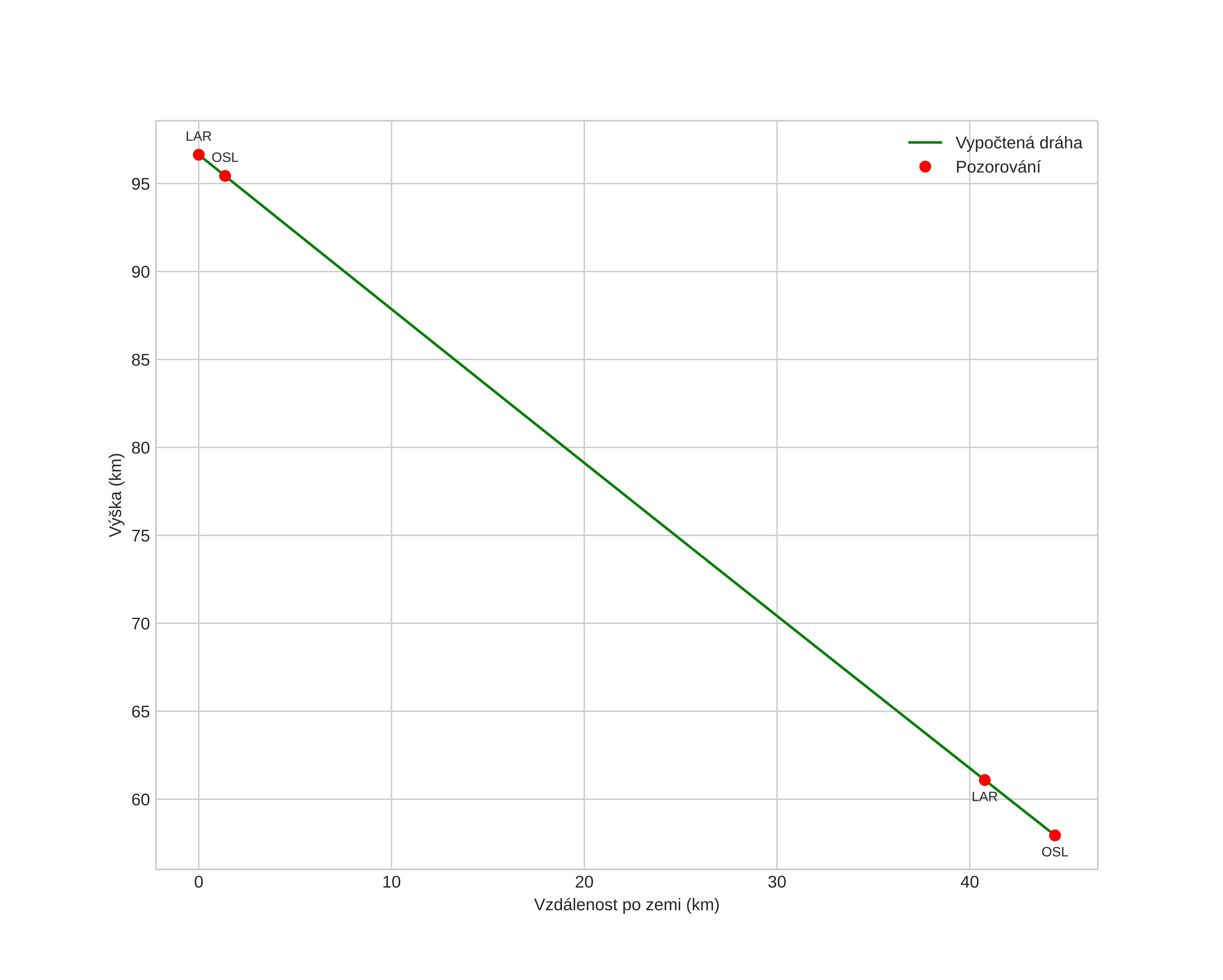
height profile
Atmosférická dráha meteoru:
Počáteční výška: 98,7 km
Konečná výška: 60,1 km
Počáteční poloha: 61,204N 6,768E
Konečná poloha: 61,535N 6,126E
Směr: 317,4°
Sklon: 37,5°
VstupnĂ­ rychlost: 33,0 km/s
Rektascenze radiantu: 03:34 (53,6°)
Deklinace radiantu: 12,9°
MeteorickĂ˝ roj: SevernĂ­ Tauridy
Elementy dráhy meteoroidu:
Vzdálenost v periheliu: 0,304 AU
Excentricita: 0,878
Sklon dráhy: 8,4°
Délka vzestupného uzlu: 40,2°
Argument perihelia: 119,0°
Střední anomálie: 349,8°
Epocha: 2022 NOV 02 22:04:46
orbit plot

NeinteraktivnĂ­ graf | InteraktivnĂ­ graf

position vs time
speed and acceleration