🇳🇴 🇬🇧 🇩🇪 🇨🇿 🇫🇮

Meteor, poloha: Vigeland 2022-11-05 01:47:01 UTC

Soubor KML  |  InteraktivnĂ­ mapa

Mapa zobrazuje dráhy meteoru. Světlejší čáry ukazují směry od pozorovacích stanic při objevení se meteoru a tmavší čáry, kde byl naposledy viděn. Modrá šipka značí viditelnou dráhu meteoru.

static map
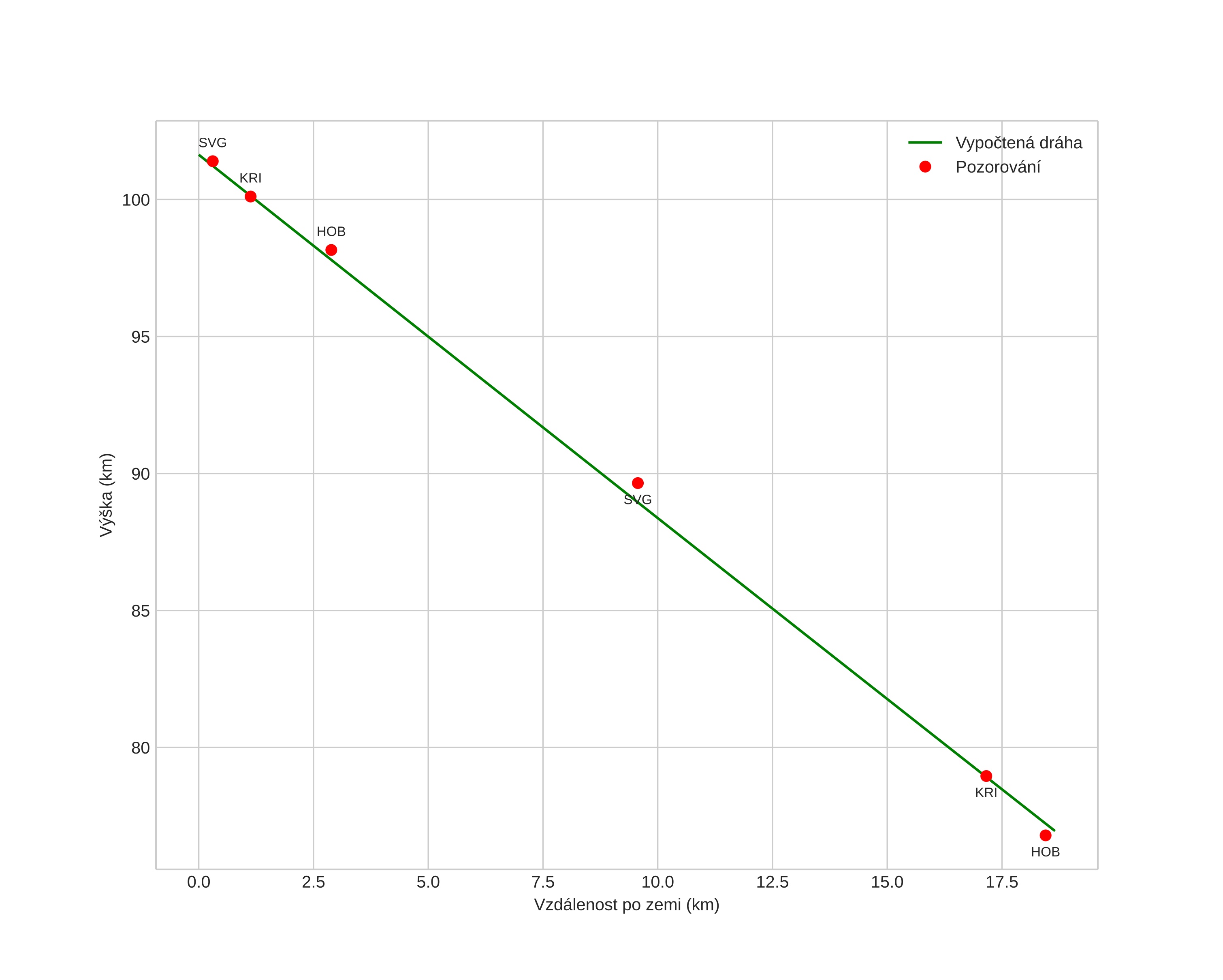
height profile
Atmosférická dráha meteoru:
Počáteční výška: 101,7 km
Konečná výška: 76,9 km
Počáteční poloha: 58,070N 7,532E
Konečná poloha: 57,965N 7,283E
Směr: 231,5°
Sklon: 52,9°
VstupnĂ­ rychlost: 56,8 km/s
Rektascenze radiantu: 10:24 (156,0°)
Deklinace radiantu: 61,2°
MeteorickĂ˝ roj: sporadickĂ˝
Elementy dráhy meteoroidu:
Vzdálenost v periheliu: 0,989 AU
Excentricita: 0,902
Sklon dráhy: 101,4°
Délka vzestupného uzlu: 222,3°
Argument perihelia: 186,2°
Střední anomálie: 359,9°
Epocha: 2022 NOV 05 01:47:01
orbit plot

NeinteraktivnĂ­ graf | InteraktivnĂ­ graf

position vs time
speed and acceleration