🇳🇴 🇬🇧 🇩🇪 🇨🇿 🇫🇮

Meteor, poloha: Eidsvoll 2022-11-07 21:45:31 UTC

Soubor KML  |  InteraktivnĂ­ mapa

Mapa zobrazuje dráhy meteoru. Světlejší čáry ukazují směry od pozorovacích stanic při objevení se meteoru a tmavší čáry, kde byl naposledy viděn. Modrá šipka značí viditelnou dráhu meteoru.

static map
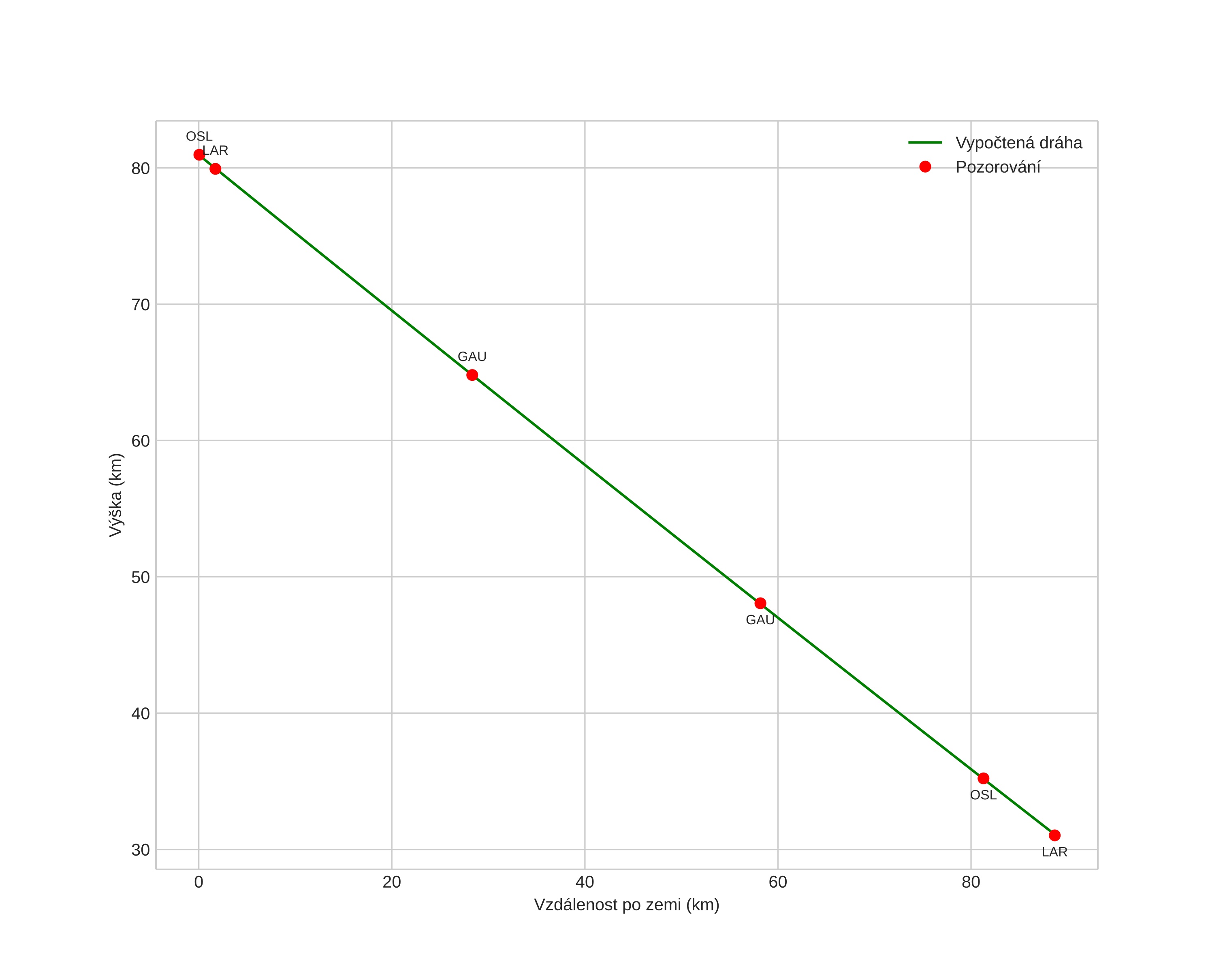
height profile
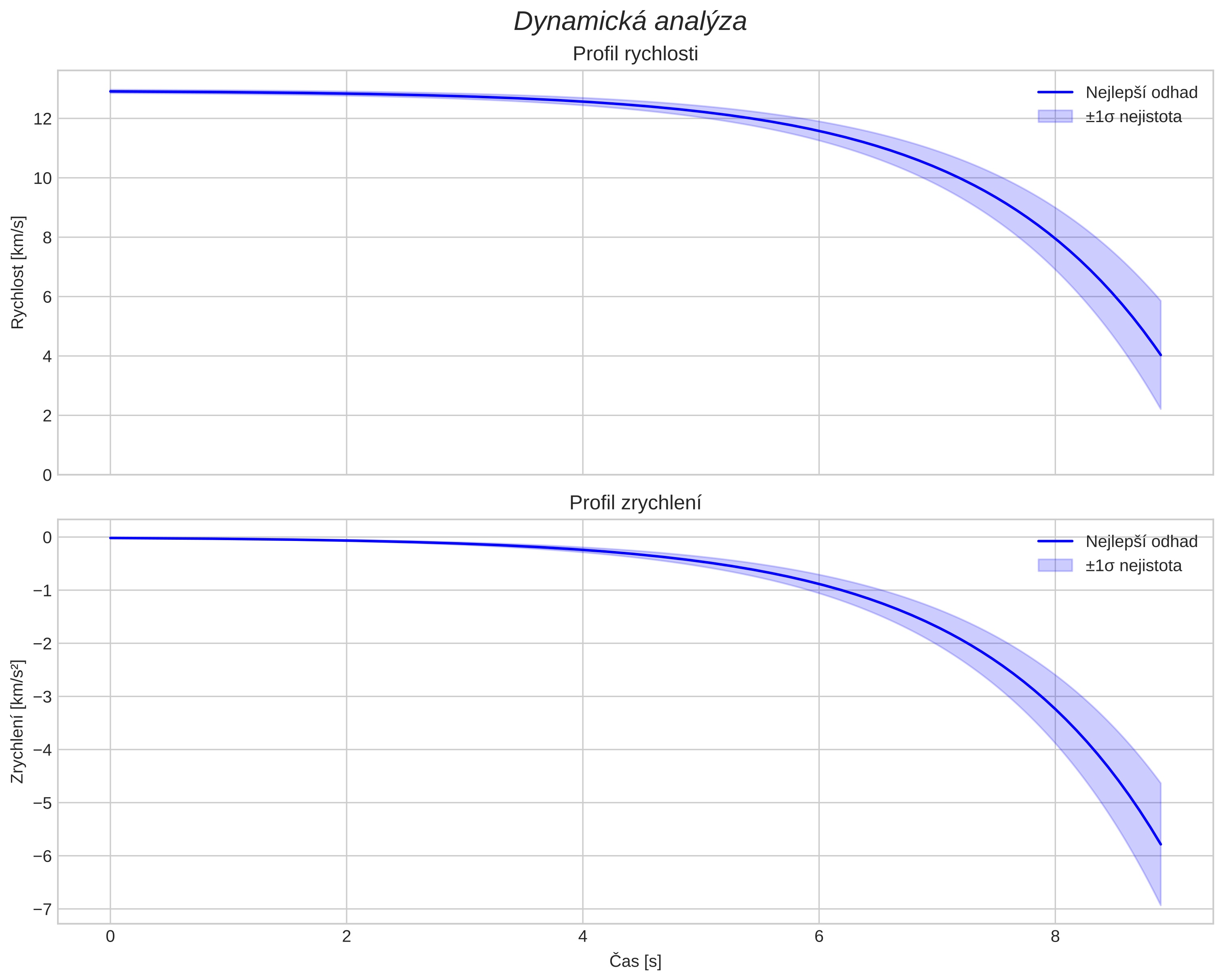
Atmosférická dráha meteoru:
Počáteční výška: 81,0 km
Konečná výška: 31,1 km
Počáteční poloha: 59,865N 10,107E
Konečná poloha: 60,424N 11,252E
Směr: 45,1°
Sklon: 29,4°
VstupnĂ­ rychlost: 12,7 km/s
Rektascenze radiantu: 22:23 (335,9°)
Deklinace radiantu: -14,1°
MeteorickĂ˝ roj: sporadickĂ˝
Elementy dráhy meteoroidu:
Vzdálenost v periheliu: 0,984 AU
Excentricita: 0,473
Sklon dráhy: 0,7°
Délka vzestupného uzlu: 45,3°
Argument perihelia: 11,4°
Střední anomálie: 356,3°
Epocha: 2022 NOV 07 21:45:31
orbit plot

NeinteraktivnĂ­ graf | InteraktivnĂ­ graf

position vs time
speed and acceleration

Gaustatoppen (GAU) cam3


gnomonic
Videa
• Gnomonická
• Gnomonická se souřadnicemi
• Původní
• Původní se souřadnicemi
Obrázky
• Gnomonická
• Gnomonická se souřadnicemi
• Gnomonická s popisky
• Původní
• Původní se souřadnicemi
Textové soubory
• Detekce
• Pozorování
• Souřadnice
• Protokol
Jasnost