🇳🇴 🇬🇧 🇩🇪 🇨🇿 🇫🇮

Meteor, poloha: Breivikbotn 2022-11-08 20:26:42 UTC

Soubor KML  |  InteraktivnĂ­ mapa

Mapa zobrazuje dráhy meteoru. Světlejší čáry ukazují směry od pozorovacích stanic při objevení se meteoru a tmavší čáry, kde byl naposledy viděn. Modrá šipka značí viditelnou dráhu meteoru.

static map
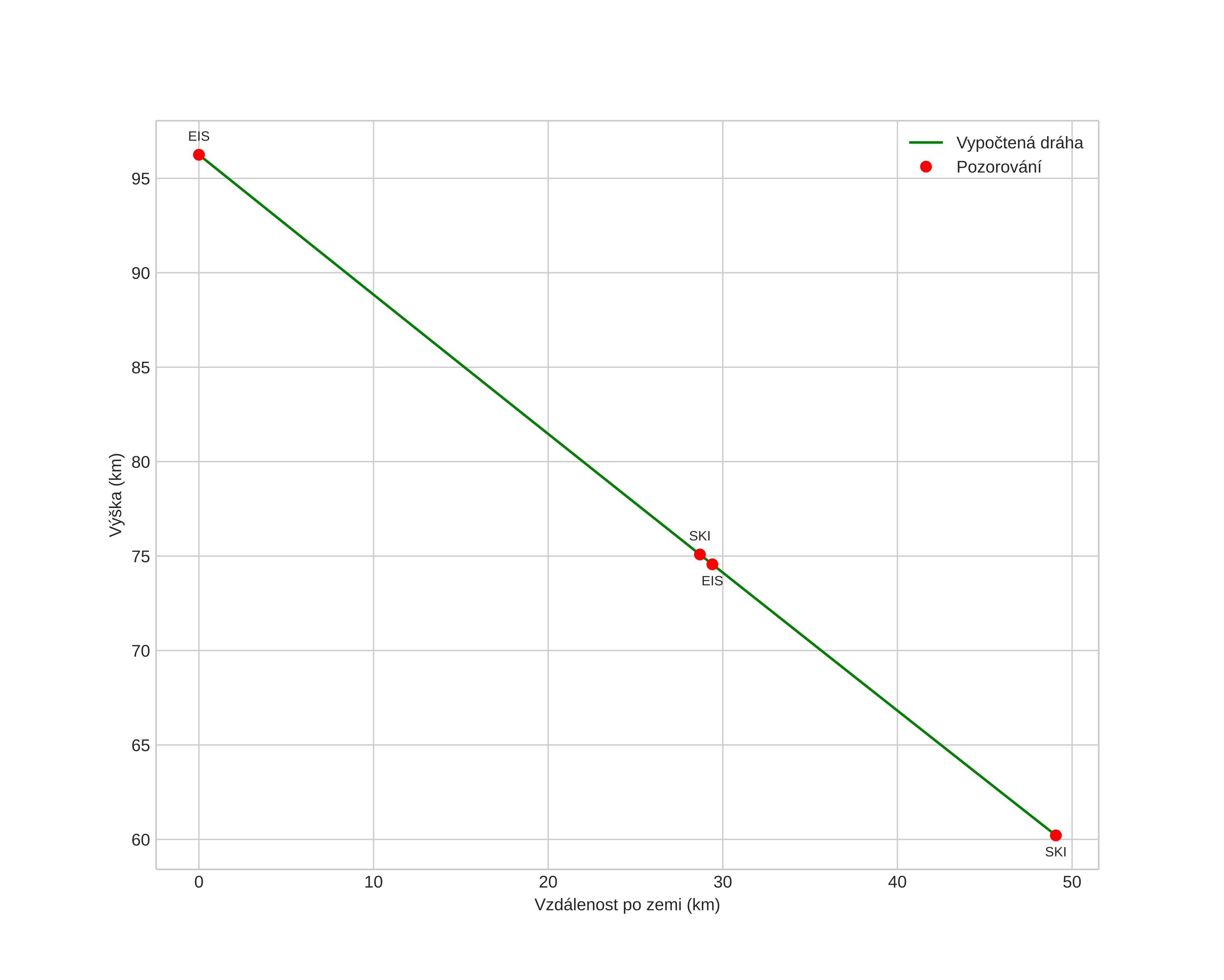
height profile
Atmosférická dráha meteoru:
Počáteční výška: 95,0 km
Konečná výška: 62,5 km
Počáteční poloha: 71,662N 23,245E
Konečná poloha: 72,014N 22,228E
Směr: 318,5°
Sklon: 31,7°
VstupnĂ­ rychlost: 30,1 km/s
Rektascenze radiantu: 03:35 (54,0°)
Deklinace radiantu: 15,0°
MeteorickĂ˝ roj: JiĹľnĂ­ Tauridy
Elementy dráhy meteoroidu:
Vzdálenost v periheliu: 0,397 AU
Excentricita: 0,842
Sklon dráhy: 4,6°
Délka vzestupného uzlu: 46,1°
Argument perihelia: 108,2°
Střední anomálie: 349,4°
Epocha: 2022 NOV 08 20:26:42
orbit plot

NeinteraktivnĂ­ graf | InteraktivnĂ­ graf

position vs time
speed and acceleration