🇳🇴 🇬🇧 🇩🇪 🇨🇿 🇫🇮

Meteor, poloha: Rypefjord 2022-11-08 23:48:09 UTC

Soubor KML  |  InteraktivnĂ­ mapa

Mapa zobrazuje dráhy meteoru. Světlejší čáry ukazují směry od pozorovacích stanic při objevení se meteoru a tmavší čáry, kde byl naposledy viděn. Modrá šipka značí viditelnou dráhu meteoru.

static map
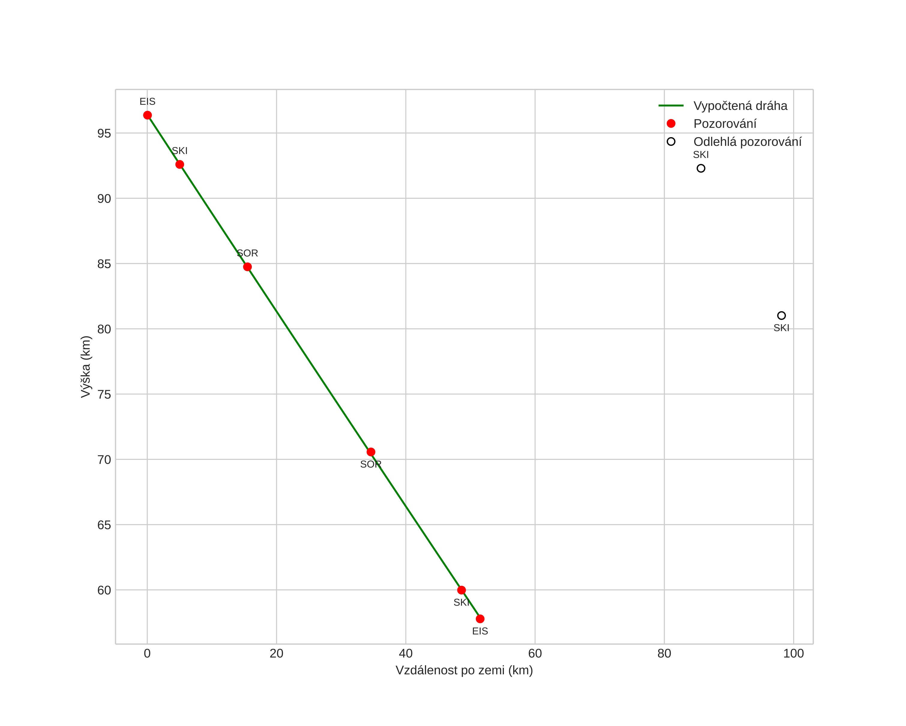
height profile
Atmosférická dráha meteoru:
Počáteční výška: 96,0 km
Konečná výška: 57,9 km
Počáteční poloha: 69,708N 23,655E
Konečná poloha: 70,156N 24,030E
Směr: 15,9°
Sklon: 36,3°
VstupnĂ­ rychlost: 31,7 km/s
Rektascenze radiantu: 03:38 (54,7°)
Deklinace radiantu: 14,6°
MeteorickĂ˝ roj: JiĹľnĂ­ Tauridy
Elementy dráhy meteoroidu:
Vzdálenost v periheliu: 0,374 AU
Excentricita: 0,882
Sklon dráhy: 5,5°
Délka vzestupného uzlu: 46,3°
Argument perihelia: 109,1°
Střední anomálie: 352,9°
Epocha: 2022 NOV 08 23:48:09
orbit plot

NeinteraktivnĂ­ graf | InteraktivnĂ­ graf

position vs time
speed and acceleration