🇳🇴 🇬🇧 🇩🇪 🇨🇿 🇫🇮

Meteor, poloha: Brøstadbotn 2022-11-09 03:26:31 UTC

Soubor KML  |  InteraktivnĂ­ mapa

Mapa zobrazuje dráhy meteoru. Světlejší čáry ukazují směry od pozorovacích stanic při objevení se meteoru a tmavší čáry, kde byl naposledy viděn. Modrá šipka značí viditelnou dráhu meteoru.

static map
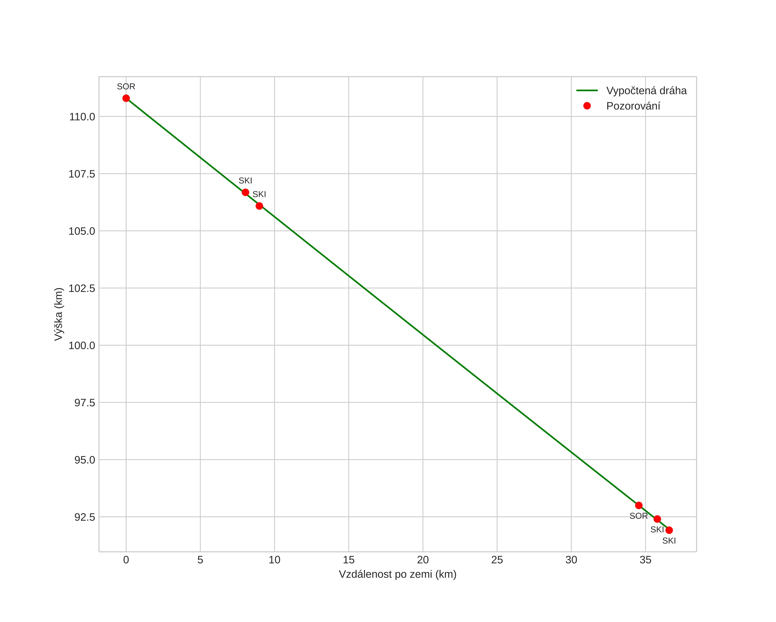
height profile
Atmosférická dráha meteoru:
Počáteční výška: 110,4 km
Konečná výška: 89,5 km
Počáteční poloha: 69,260N 18,623E
Konečná poloha: 69,362N 17,643E
Směr: 286,9°
Sklon: 27,5°
VstupnĂ­ rychlost: 61,1 km/s
Rektascenze radiantu: 12:11 (182,8°)
Deklinace radiantu: 19,5°
MeteorickĂ˝ roj: sporadickĂ˝
Elementy dráhy meteoroidu:
Vzdálenost v periheliu: 0,327 AU
Excentricita: 0,997
Sklon dráhy: 126,8°
Délka vzestupného uzlu: 226,4°
Argument perihelia: 70,0°
Střední anomálie: 0,0°
Epocha: 2022 NOV 09 03:26:31
orbit plot

NeinteraktivnĂ­ graf | InteraktivnĂ­ graf

position vs time
speed and acceleration

Sorreisa (SOR) cam4

gnomonic
Videa
• Původní
Obrázky
• Původní
Textové soubory
• Detekce
• Pozorování
• Souřadnice
• Chybová hlášení
• Protokol
Jasnost