🇳🇴 🇬🇧 🇩🇪 🇨🇿 🇫🇮

Meteor, poloha: Tromsø 2022-11-09 05:08:17 UTC

Soubor KML  |  InteraktivnĂ­ mapa

Mapa zobrazuje dráhy meteoru. Světlejší čáry ukazují směry od pozorovacích stanic při objevení se meteoru a tmavší čáry, kde byl naposledy viděn. Modrá šipka značí viditelnou dráhu meteoru.

static map
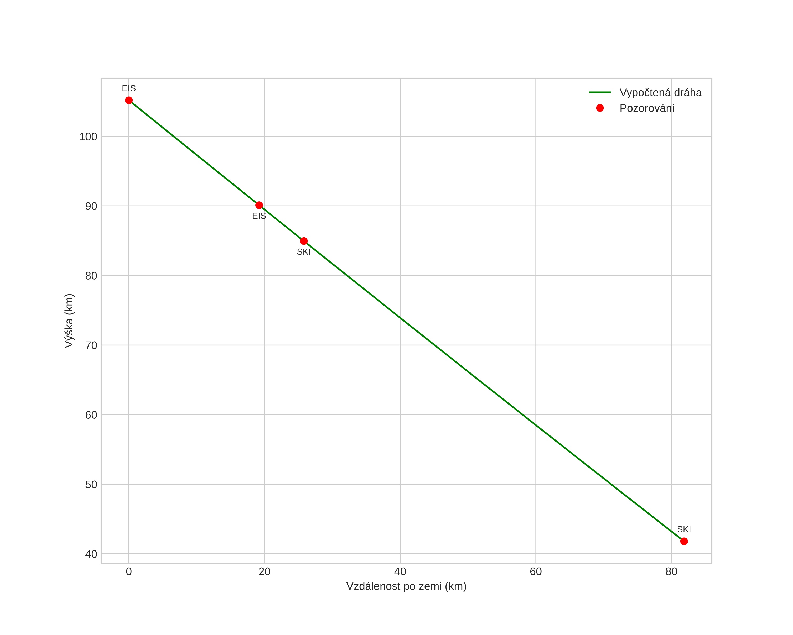
height profile
Atmosférická dráha meteoru:
Počáteční výška: 104,4 km
Konečná výška: 87,9 km
Počáteční poloha: 69,708N 19,412E
Konečná poloha: 69,561N 19,168E
Směr: 210,2°
Sklon: 41,2°
VstupnĂ­ rychlost: 21,1 km/s
Rektascenze radiantu: 18:50 (282,7°)
Deklinace radiantu: 53,8°
MeteorickĂ˝ roj: sporadickĂ˝
Elementy dráhy meteoroidu:
Vzdálenost v periheliu: 0,990 AU
Excentricita: 0,651
Sklon dráhy: 26,8°
Délka vzestupného uzlu: 226,5°
Argument perihelia: 177,4°
Střední anomálie: 0,4°
Epocha: 2022 NOV 09 05:08:17
orbit plot

NeinteraktivnĂ­ graf | InteraktivnĂ­ graf

position vs time
speed and acceleration