🇳🇴 🇬🇧 🇩🇪 🇨🇿 🇫🇮

Meteor, poloha: Hatteng 2022-11-09 15:55:16 UTC

Soubor KML  |  InteraktivnĂ­ mapa

Mapa zobrazuje dráhy meteoru. Světlejší čáry ukazují směry od pozorovacích stanic při objevení se meteoru a tmavší čáry, kde byl naposledy viděn. Modrá šipka značí viditelnou dráhu meteoru.

static map
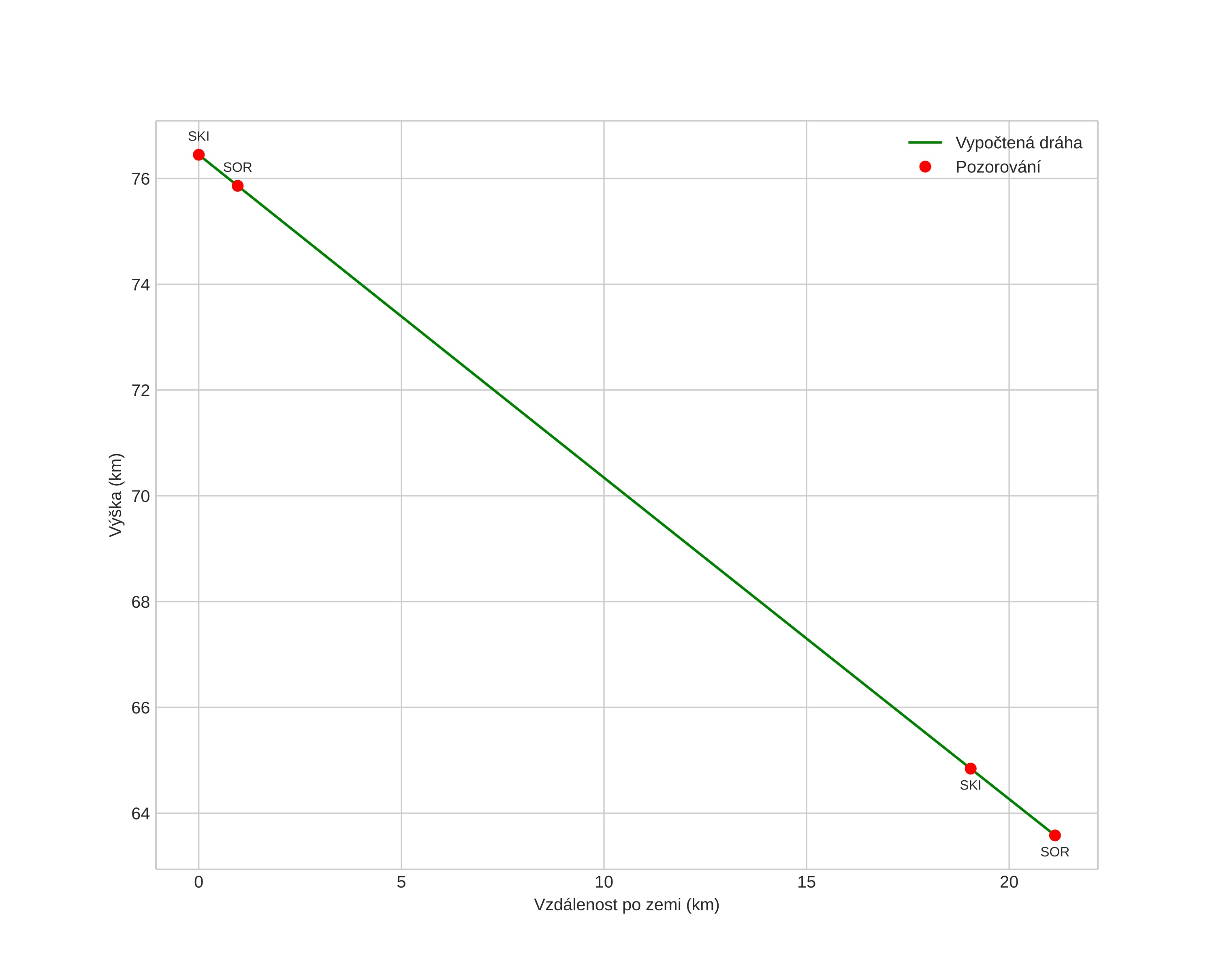
height profile
Atmosférická dráha meteoru:
Počáteční výška: 76,5 km
Konečná výška: 63,6 km
Počáteční poloha: 69,290N 19,170E
Konečná poloha: 69,401N 19,604E
Směr: 53,8°
Sklon: 31,5°
VstupnĂ­ rychlost: 19,0 km/s
Rektascenze radiantu: 17:11 (257,8°)
Deklinace radiantu: 11,7°
MeteorickĂ˝ roj: sporadickĂ˝
Elementy dráhy meteoroidu:
Vzdálenost v periheliu: 0,896 AU
Excentricita: 0,713
Sklon dráhy: 13,8°
Délka vzestupného uzlu: 226,9°
Argument perihelia: 140,5°
Střední anomálie: 5,0°
Epocha: 2022 NOV 09 15:55:16
orbit plot

NeinteraktivnĂ­ graf | InteraktivnĂ­ graf

position vs time
speed and acceleration