🇳🇴 🇬🇧 🇩🇪 🇨🇿 🇫🇮

Meteor, poloha: Storsteinnes 2022-11-09 18:09:09 UTC

Soubor KML  |  InteraktivnĂ­ mapa

Mapa zobrazuje dráhy meteoru. Světlejší čáry ukazují směry od pozorovacích stanic při objevení se meteoru a tmavší čáry, kde byl naposledy viděn. Modrá šipka značí viditelnou dráhu meteoru.

static map
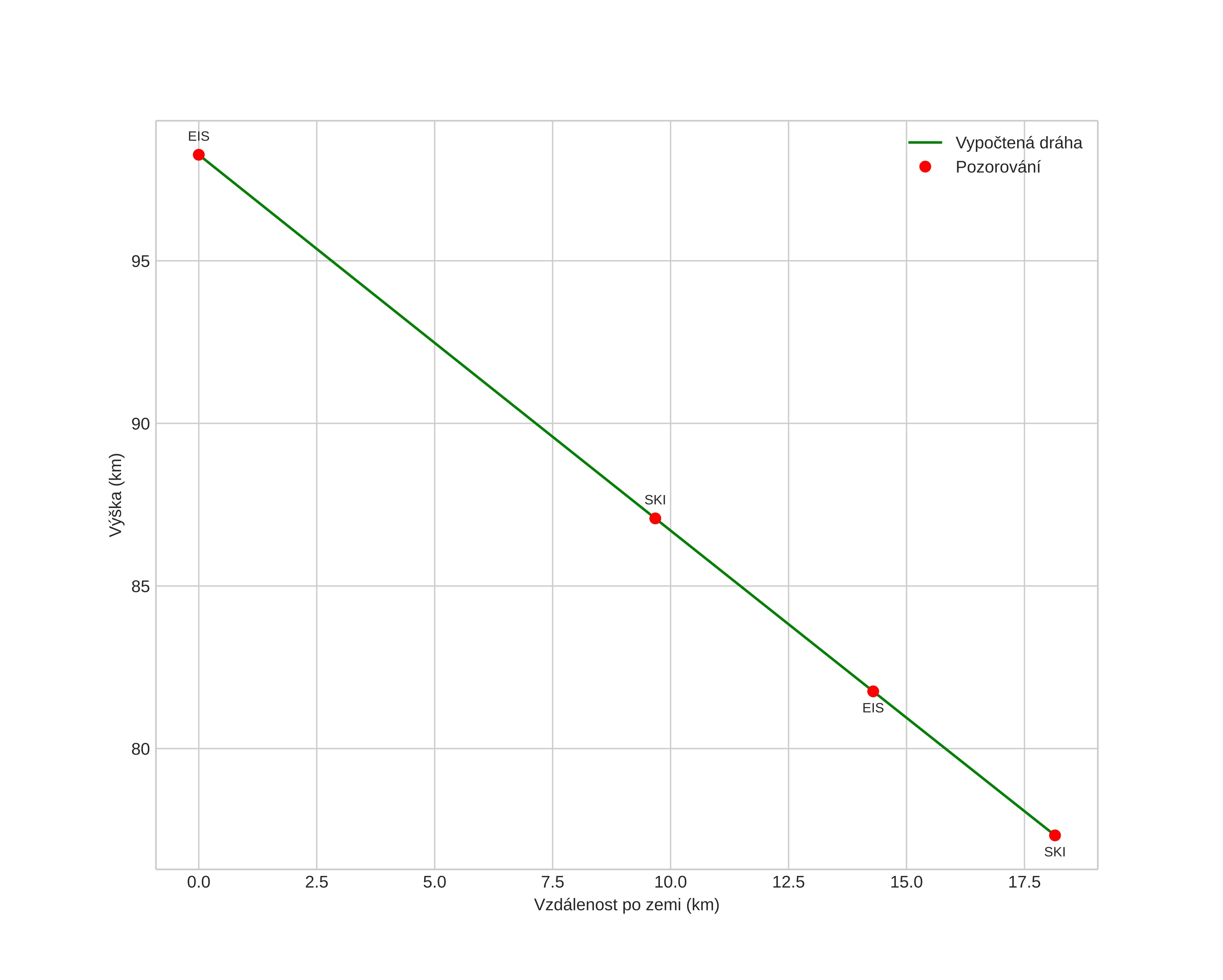
height profile
Atmosférická dráha meteoru:
Počáteční výška: 98,3 km
Konečná výška: 77,8 km
Počáteční poloha: 69,449N 18,811E
Konečná poloha: 69,357N 19,187E
Směr: 124,7°
Sklon: 48,9°
VstupnĂ­ rychlost: 33,3 km/s
Rektascenze radiantu: 15:59 (239,8°)
Deklinace radiantu: 55,5°
MeteorickĂ˝ roj: sporadickĂ˝
Elementy dráhy meteoroidu:
Vzdálenost v periheliu: 0,943 AU
Excentricita: 0,849
Sklon dráhy: 48,9°
Délka vzestupného uzlu: 227,0°
Argument perihelia: 153,7°
Střední anomálie: 1,2°
Epocha: 2022 NOV 09 18:09:09
orbit plot

NeinteraktivnĂ­ graf | InteraktivnĂ­ graf

position vs time
speed and acceleration