🇳🇴 🇬🇧 🇩🇪 🇨🇿 🇫🇮

Meteor, poloha: BerkĂĄk 2022-11-10 00:13:09 UTC

Soubor KML  |  InteraktivnĂ­ mapa

Mapa zobrazuje dráhy meteoru. Světlejší čáry ukazují směry od pozorovacích stanic při objevení se meteoru a tmavší čáry, kde byl naposledy viděn. Modrá šipka značí viditelnou dráhu meteoru.

static map
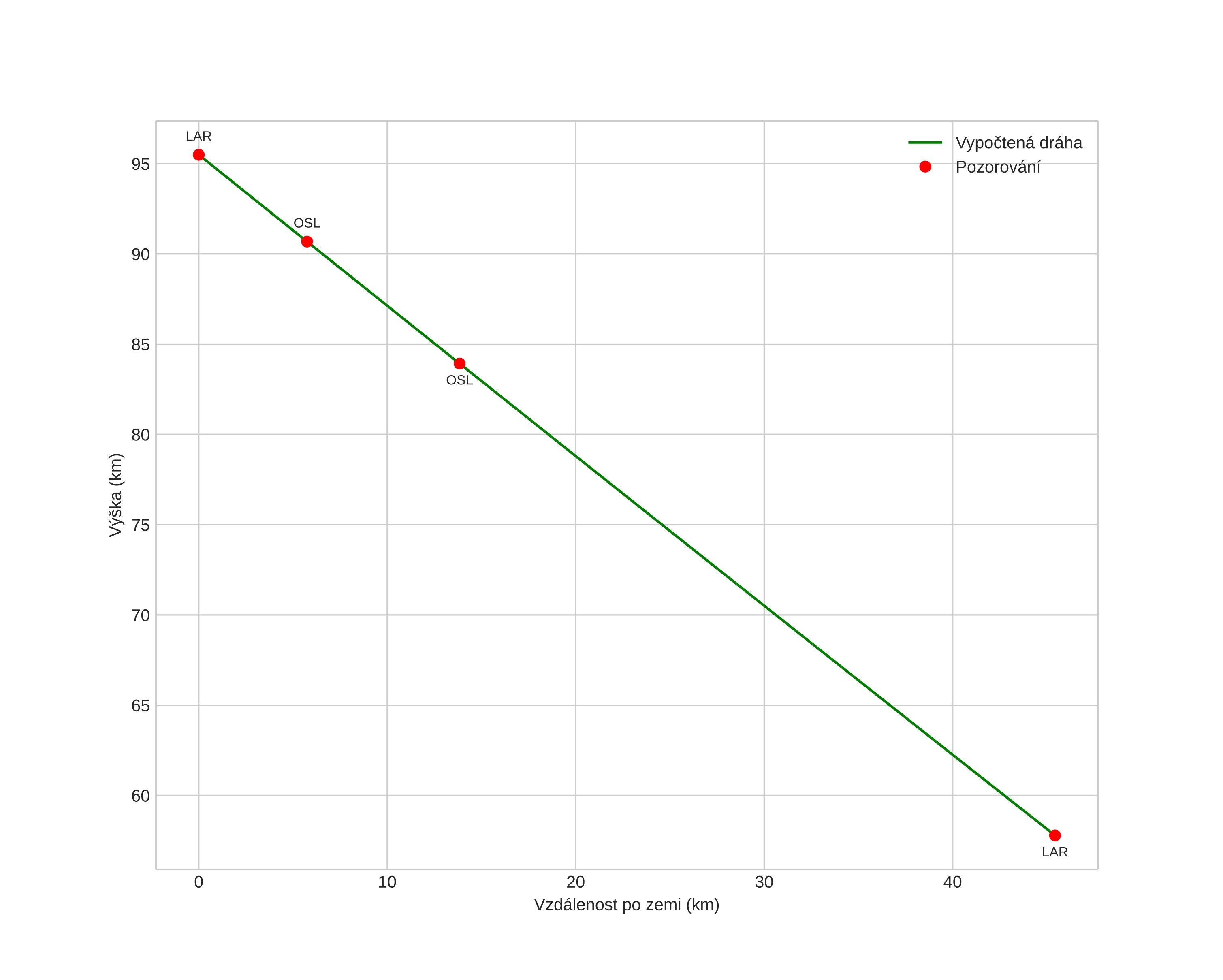
height profile
Atmosférická dráha meteoru:
Počáteční výška: 95,9 km
Konečná výška: 57,7 km
Počáteční poloha: 62,474N 9,740E
Konečná poloha: 62,888N 9,821E
Směr: 5,1°
Sklon: 39,6°
VstupnĂ­ rychlost: 32,2 km/s
Rektascenze radiantu: 03:49 (57,3°)
Deklinace radiantu: 10,3°
MeteorickĂ˝ roj: JiĹľnĂ­ Tauridy
Elementy dráhy meteoroidu:
Vzdálenost v periheliu: 0,375 AU
Excentricita: 0,889
Sklon dráhy: 11,4°
Délka vzestupného uzlu: 47,3°
Argument perihelia: 108,7°
Střední anomálie: 353,6°
Epocha: 2022 NOV 10 00:13:09
orbit plot

NeinteraktivnĂ­ graf | InteraktivnĂ­ graf

position vs time
speed and acceleration