🇳🇴 🇬🇧 🇩🇪 🇨🇿 🇫🇮

Meteor, poloha: Finnsnes 2022-11-13 19:32:28 UTC

Soubor KML  |  InteraktivnĂ­ mapa

Mapa zobrazuje dráhy meteoru. Světlejší čáry ukazují směry od pozorovacích stanic při objevení se meteoru a tmavší čáry, kde byl naposledy viděn. Modrá šipka značí viditelnou dráhu meteoru.

static map
height profile
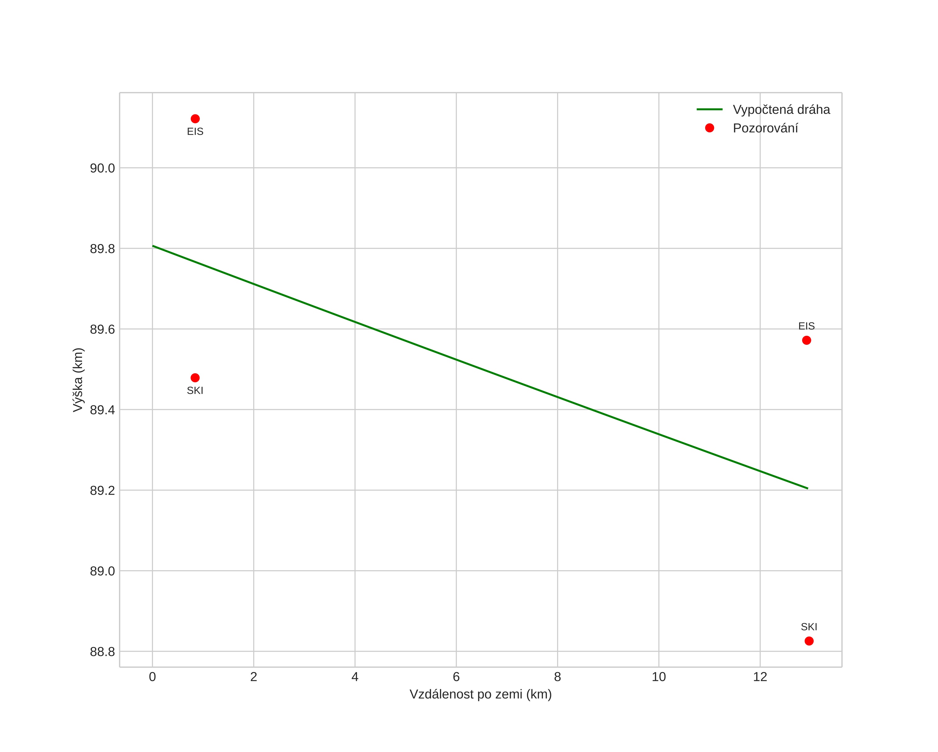
Atmosférická dráha meteoru:
Počáteční výška: 89,6 km
Konečná výška: 89,1 km
Počáteční poloha: 69,467N 18,054E
Konečná poloha: 69,520N 17,791E
Směr: 300,0°
Sklon: 2,4°
VstupnĂ­ rychlost: 16,0 km/s
Rektascenze radiantu: 04:41 (70,4°)
Deklinace radiantu: -25,1°
MeteorickĂ˝ roj: sporadickĂ˝
Elementy dráhy meteoroidu:
Vzdálenost v periheliu: 0,764 AU
Excentricita: 0,264
Sklon dráhy: 16,2°
Délka vzestupného uzlu: 51,1°
Argument perihelia: 95,4°
Střední anomálie: 295,0°
Epocha: 2022 NOV 13 19:32:28
orbit plot

NeinteraktivnĂ­ graf | InteraktivnĂ­ graf

position vs time
speed and acceleration