🇳🇴 🇬🇧 🇩🇪 🇨🇿 🇫🇮

Meteor, poloha: Rørvik 2022-11-15 17:56:02 UTC

Soubor KML  |  InteraktivnĂ­ mapa

Mapa zobrazuje dráhy meteoru. Světlejší čáry ukazují směry od pozorovacích stanic při objevení se meteoru a tmavší čáry, kde byl naposledy viděn. Modrá šipka značí viditelnou dráhu meteoru.

static map
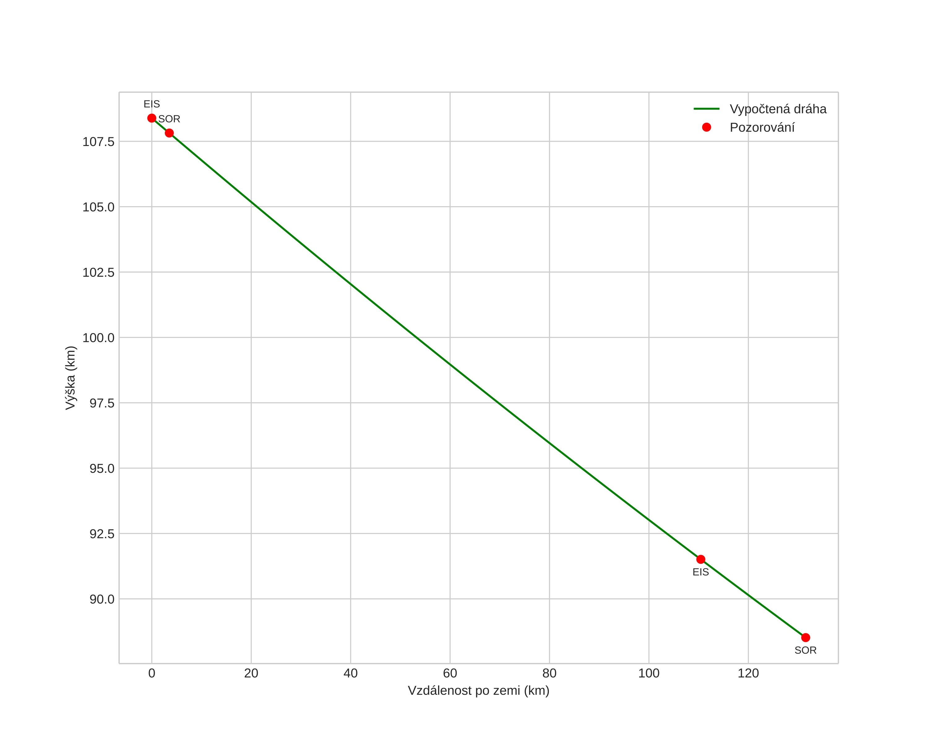
height profile
Atmosférická dráha meteoru:
Počáteční výška: 117,0 km
Konečná výška: 87,3 km
Počáteční poloha: 66,062N 12,739E
Konečná poloha: 65,940N 10,370E
Směr: 263,9°
Sklon: 15,4°
VstupnĂ­ rychlost: 38,3 km/s
Rektascenze radiantu: 04:24 (66,2°)
Deklinace radiantu: 14,8°
MeteorickĂ˝ roj: sporadickĂ˝
Elementy dráhy meteoroidu:
Vzdálenost v periheliu: 0,266 AU
Excentricita: 0,986
Sklon dráhy: 11,3°
Délka vzestupného uzlu: 53,0°
Argument perihelia: 118,2°
Střední anomálie: 359,6°
Epocha: 2022 NOV 15 17:56:02
orbit plot

NeinteraktivnĂ­ graf | InteraktivnĂ­ graf

position vs time
speed and acceleration