🇳🇴 🇬🇧 🇩🇪 🇨🇿 🇫🇮

Meteor, poloha: Røst 2022-11-16 19:58:59 UTC

Soubor KML

Mapa zobrazuje dráhy meteoru. Světlejší čáry ukazují směry od pozorovacích stanic při objevení se meteoru a tmavší čáry, kde byl naposledy viděn. Modrá šipka značí viditelnou dráhu meteoru.

static map
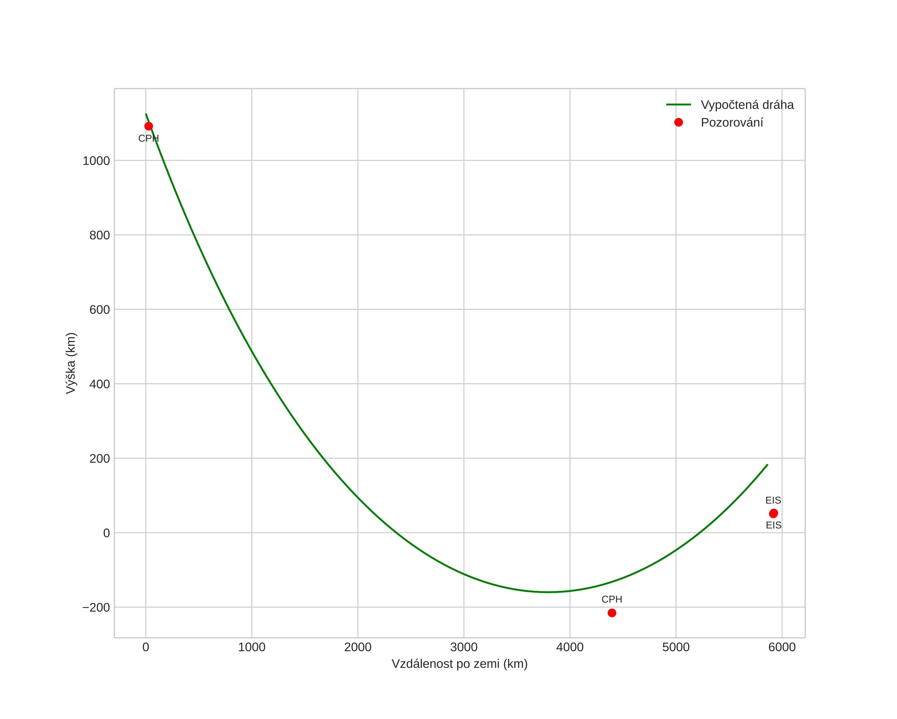
height profile
Atmosférická dráha meteoru:
Počáteční výška: 1125,9 km
Konečná výška: 183,6 km
Počáteční poloha: 16,450N 25,639E
Konečná poloha: 68,290N 10,416E
Směr: 353,0°
Sklon: 9,1°
Vstupní rychlost: 7,3 km/s
orbit plot
position vs time
speed and acceleration