🇳🇴 🇬🇧 🇩🇪 🇨🇿 🇫🇮

Meteor, poloha: Kautokeino 2022-11-17 16:58:57 UTC

Soubor KML  |  InteraktivnĂ­ mapa

Mapa zobrazuje dráhy meteoru. Světlejší čáry ukazují směry od pozorovacích stanic při objevení se meteoru a tmavší čáry, kde byl naposledy viděn. Modrá šipka značí viditelnou dráhu meteoru.

static map
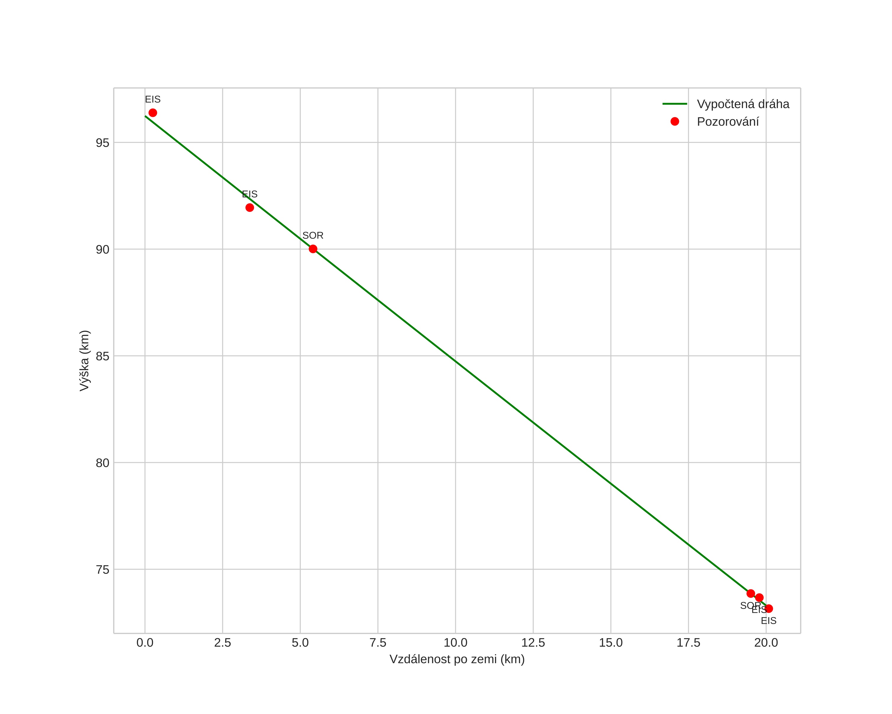
height profile
Atmosférická dráha meteoru:
Počáteční výška: 96,6 km
Konečná výška: 73,5 km
Počáteční poloha: 68,981N 22,707E
Konečná poloha: 69,008N 22,216E
Směr: 278,6°
Sklon: 49,4°
VstupnĂ­ rychlost: 26,7 km/s
Rektascenze radiantu: 02:20 (35,2°)
Deklinace radiantu: 40,7°
MeteorickĂ˝ roj: sporadickĂ˝
Elementy dráhy meteoroidu:
Vzdálenost v periheliu: 0,694 AU
Excentricita: 0,922
Sklon dráhy: 17,1°
Délka vzestupného uzlu: 235,0°
Argument perihelia: 247,8°
Střední anomálie: 358,6°
Epocha: 2022 NOV 17 16:58:57
orbit plot

NeinteraktivnĂ­ graf | InteraktivnĂ­ graf

position vs time
speed and acceleration