🇳🇴 🇬🇧 🇩🇪 🇨🇿 🇫🇮

Meteor, poloha: Skjervøy 2022-11-18 06:02:15 UTC

Soubor KML  |  InteraktivnĂ­ mapa

Mapa zobrazuje dráhy meteoru. Světlejší čáry ukazují směry od pozorovacích stanic při objevení se meteoru a tmavší čáry, kde byl naposledy viděn. Modrá šipka značí viditelnou dráhu meteoru.

static map
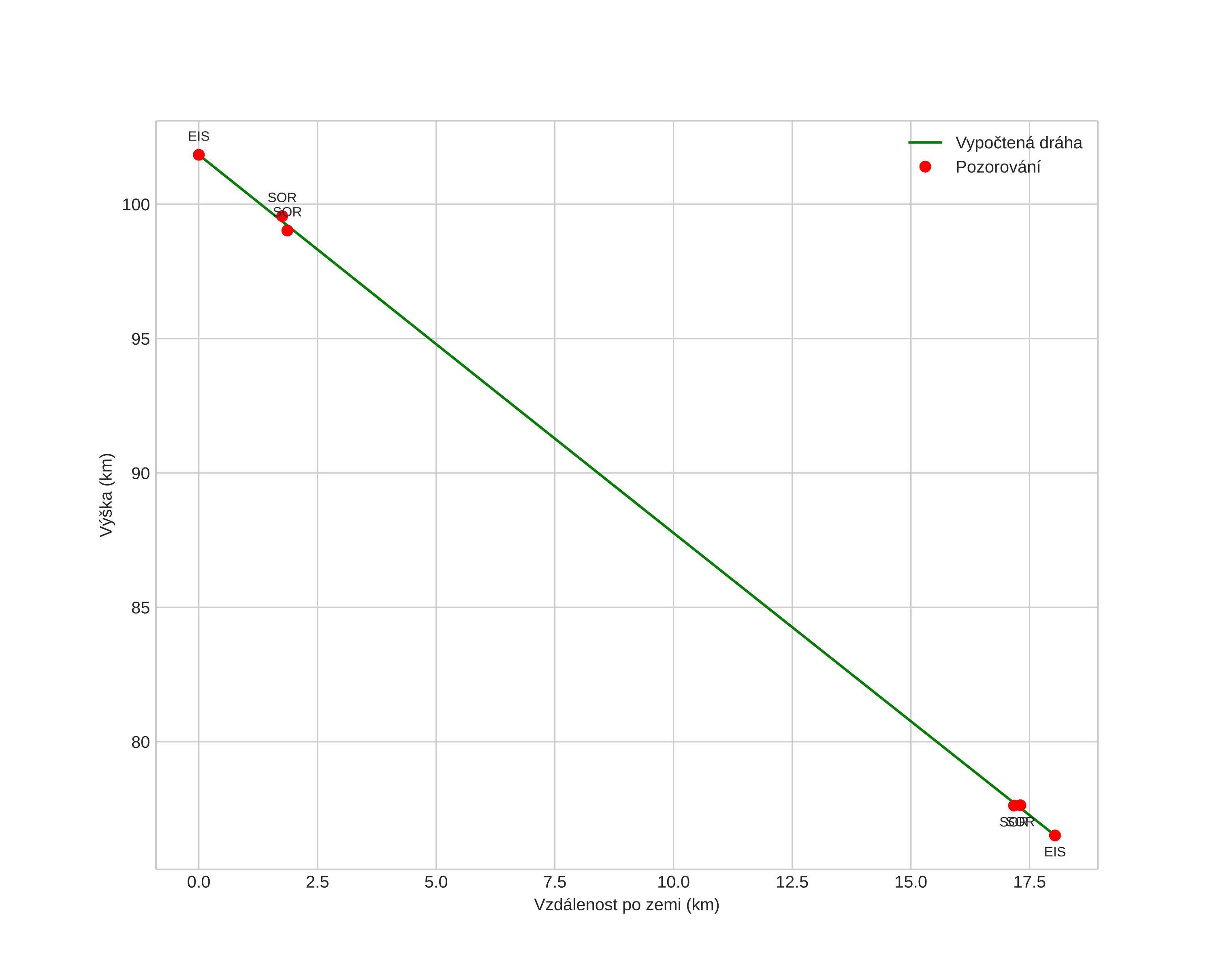
height profile
Atmosférická dráha meteoru:
Počáteční výška: 101,5 km
Konečná výška: 75,7 km
Počáteční poloha: 70,632N 20,849E
Konečná poloha: 70,544N 20,418E
Směr: 238,5°
Sklon: 54,0°
VstupnĂ­ rychlost: 30,7 km/s
Rektascenze radiantu: 17:28 (262,2°)
Deklinace radiantu: 59,1°
MeteorickĂ˝ roj: sporadickĂ˝
Elementy dráhy meteoroidu:
Vzdálenost v periheliu: 0,980 AU
Excentricita: 0,944
Sklon dráhy: 42,8°
Délka vzestupného uzlu: 235,6°
Argument perihelia: 169,4°
Střední anomálie: 0,1°
Epocha: 2022 NOV 18 06:02:15
orbit plot

NeinteraktivnĂ­ graf | InteraktivnĂ­ graf

position vs time
speed and acceleration