🇳🇴 🇬🇧 🇩🇪 🇨🇿 🇫🇮

Meteor, poloha: Skjervøy 2022-11-19 02:47:46 UTC

Soubor KML  |  InteraktivnĂ­ mapa

Mapa zobrazuje dráhy meteoru. Světlejší čáry ukazují směry od pozorovacích stanic při objevení se meteoru a tmavší čáry, kde byl naposledy viděn. Modrá šipka značí viditelnou dráhu meteoru.

static map
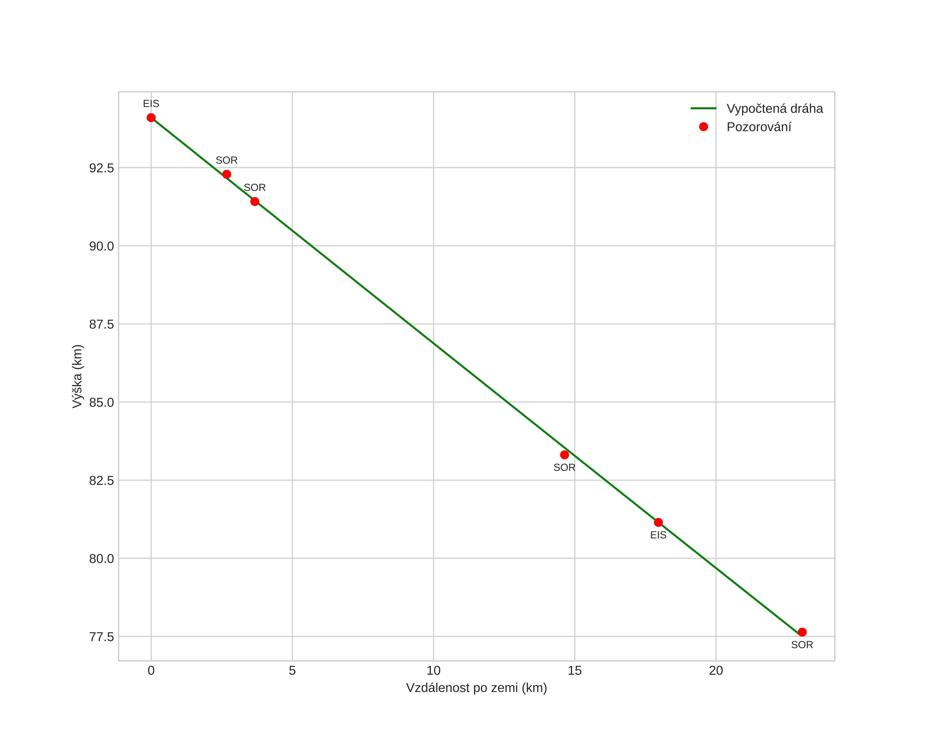
height profile
Atmosférická dráha meteoru:
Počáteční výška: 98,3 km
Konečná výška: 80,0 km
Počáteční poloha: 70,311N 20,964E
Konečná poloha: 70,240N 21,533E
Směr: 110,1°
Sklon: 38,8°
VstupnĂ­ rychlost: 20,7 km/s
Rektascenze radiantu: 01:39 (25,0°)
Deklinace radiantu: 38,2°
MeteorickĂ˝ roj: sporadickĂ˝
Elementy dráhy meteoroidu:
Vzdálenost v periheliu: 0,812 AU
Excentricita: 0,760
Sklon dráhy: 12,3°
Délka vzestupného uzlu: 236,4°
Argument perihelia: 234,0°
Střední anomálie: 354,5°
Epocha: 2022 NOV 19 02:47:46
orbit plot

NeinteraktivnĂ­ graf | InteraktivnĂ­ graf

position vs time
speed and acceleration