🇳🇴 🇬🇧 🇩🇪 🇨🇿 🇫🇮

Meteor, poloha: Tromsø 2022-11-21 02:44:13 UTC

Soubor KML  |  InteraktivnĂ­ mapa

Mapa zobrazuje dráhy meteoru. Světlejší čáry ukazují směry od pozorovacích stanic při objevení se meteoru a tmavší čáry, kde byl naposledy viděn. Modrá šipka značí viditelnou dráhu meteoru.

static map
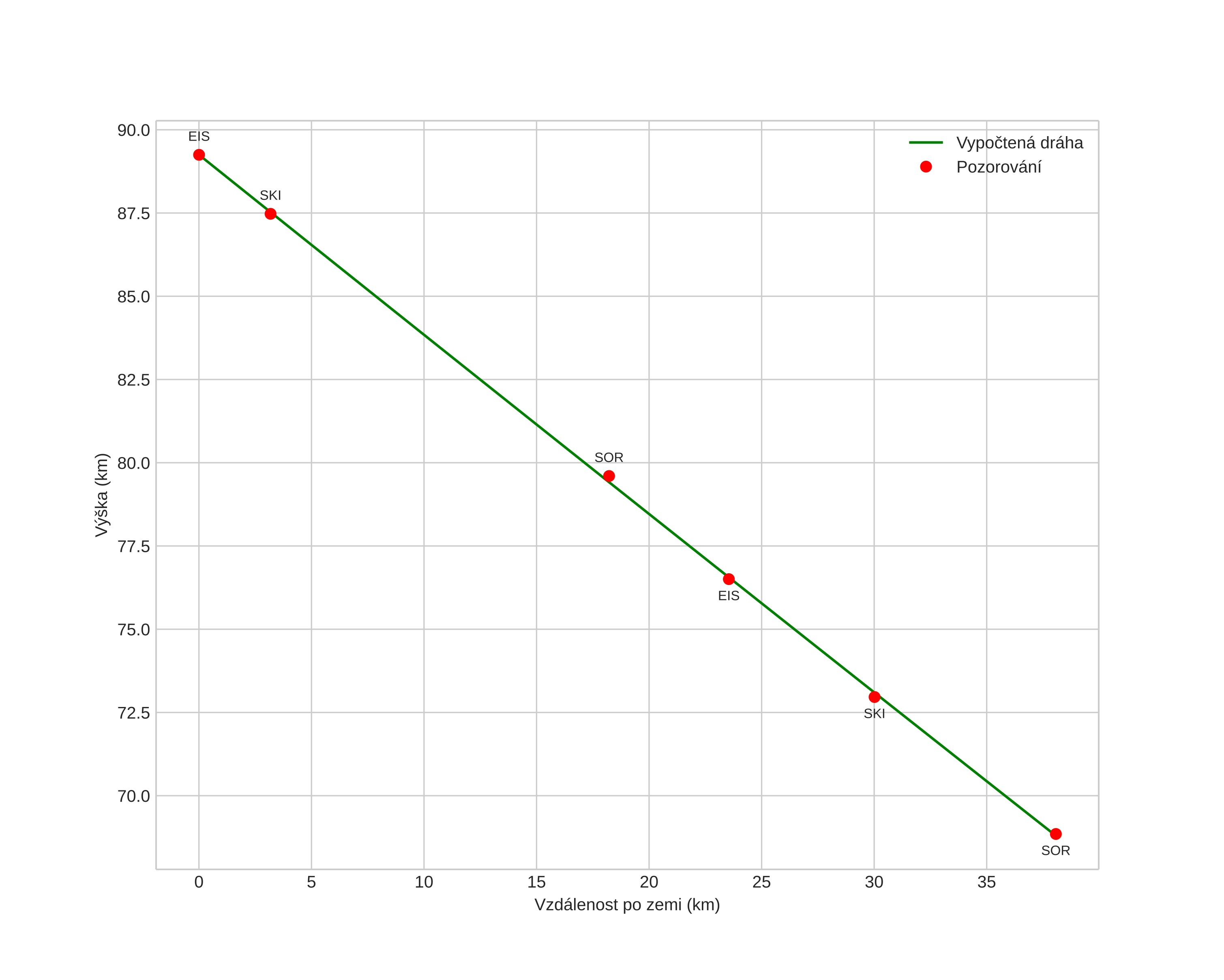
height profile
Atmosférická dráha meteoru:
Počáteční výška: 90,7 km
Konečná výška: 68,5 km
Počáteční poloha: 69,746N 17,901E
Konečná poloha: 69,772N 18,946E
Směr: 85,3°
Sklon: 28,8°
VstupnĂ­ rychlost: 20,6 km/s
Rektascenze radiantu: 02:44 (41,2°)
Deklinace radiantu: 19,7°
MeteorickĂ˝ roj: sporadickĂ˝
Elementy dráhy meteoroidu:
Vzdálenost v periheliu: 0,748 AU
Excentricita: 0,729
Sklon dráhy: 1,8°
Délka vzestupného uzlu: 238,4°
Argument perihelia: 245,0°
Střední anomálie: 351,5°
Epocha: 2022 NOV 21 02:44:13
orbit plot

NeinteraktivnĂ­ graf | InteraktivnĂ­ graf

position vs time
speed and acceleration