🇳🇴 🇬🇧 🇩🇪 🇨🇿 🇫🇮

Meteor, poloha: Breivikbotn 2022-11-21 03:48:45 UTC

Soubor KML  |  InteraktivnĂ­ mapa

Mapa zobrazuje dráhy meteoru. Světlejší čáry ukazují směry od pozorovacích stanic při objevení se meteoru a tmavší čáry, kde byl naposledy viděn. Modrá šipka značí viditelnou dráhu meteoru.

static map
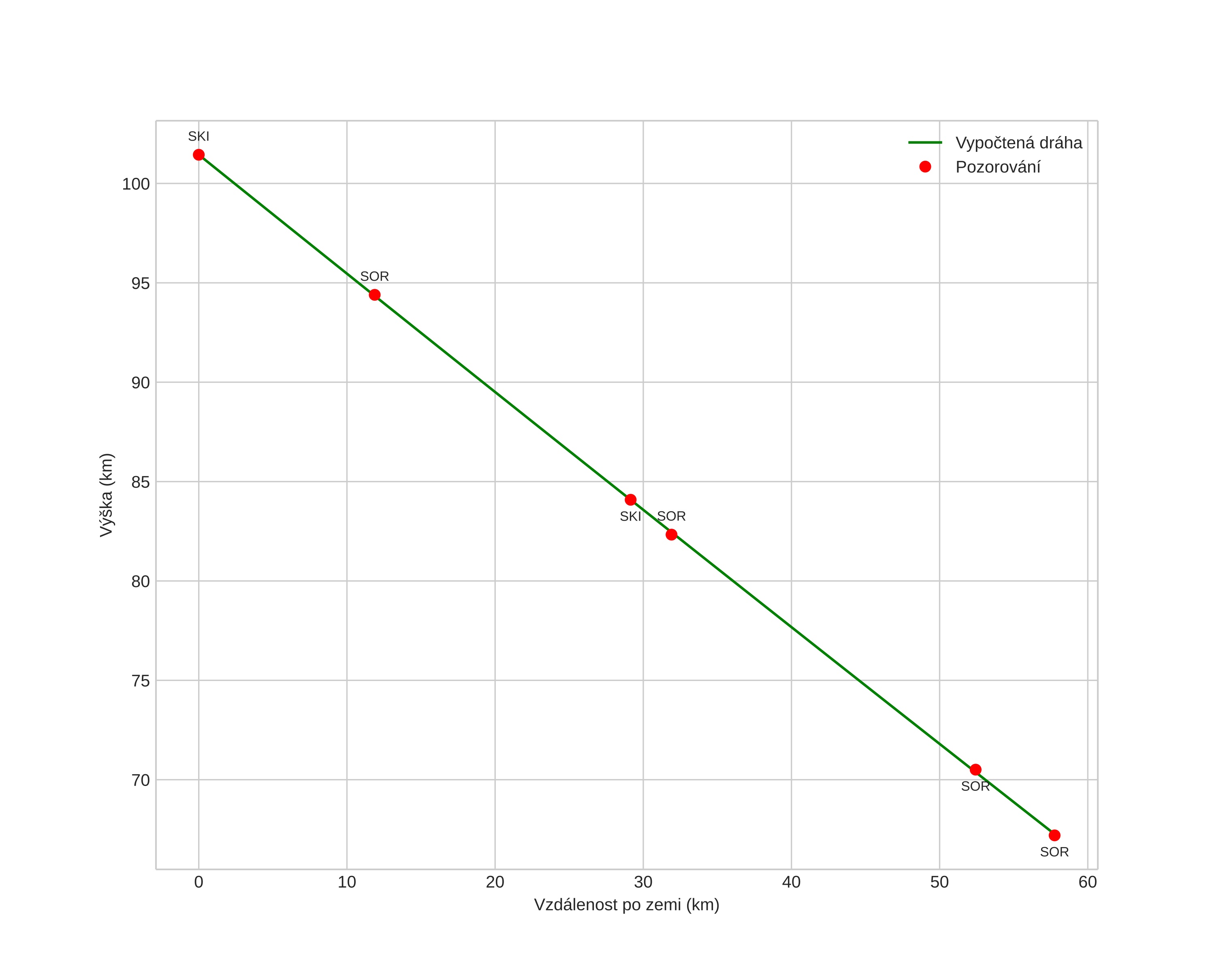
height profile
Atmosférická dráha meteoru:
Počáteční výška: 101,3 km
Konečná výška: 70,2 km
Počáteční poloha: 71,023N 21,348E
Konečná poloha: 71,088N 22,765E
Směr: 81,3°
Sklon: 31,0°
VstupnĂ­ rychlost: 33,8 km/s
Rektascenze radiantu: 04:25 (66,4°)
Deklinace radiantu: 24,6°
MeteorickĂ˝ roj: SevernĂ­ Tauridy
Elementy dráhy meteoroidu:
Vzdálenost v periheliu: 0,344 AU
Excentricita: 0,931
Sklon dráhy: 3,7°
Délka vzestupného uzlu: 238,4°
Argument perihelia: 290,7°
Střední anomálie: 356,6°
Epocha: 2022 NOV 21 03:48:45
orbit plot

NeinteraktivnĂ­ graf | InteraktivnĂ­ graf

position vs time
speed and acceleration