🇳🇴 🇬🇧 🇩🇪 🇨🇿 🇫🇮

Meteor Evjenin yllä 2022-11-22 21:17:03 UTC

KML-tiedosto  |  Interaktiivinen kartta

Kartta näyttää meteorin suuntahavainnot. Vaaleammat viivat näyttävät suunnat havaintoasemilta meteorin ilmestyessä, ja tummemmat viivat näyttävät, missä se viimeksi nähtiin. Sininen nuoli näyttää meteorin näkyvän lennon.

static map
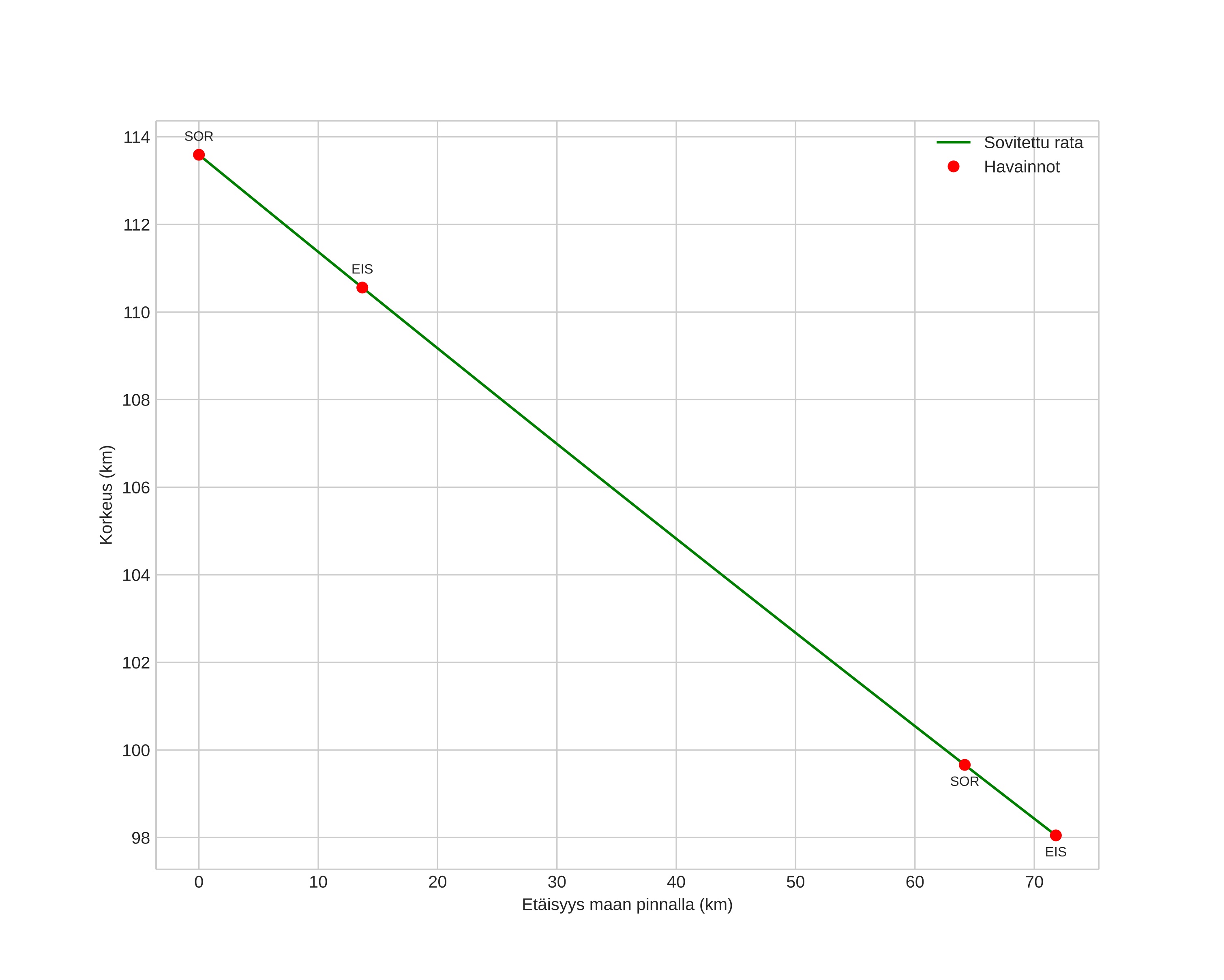
height profile
Meteorin ilmakehärata:
Alkukorkeus: 113,3 km
Loppukorkeus: 98,8 km
Alkupiste: 69,425N 15,457E
Loppupiste: 69,312N 13,595E
Suunta: 261,1°
Kallistuskulma: 11,1°
Tulonopeus: 71,2 km/s
Radiantin R,A,: 08:43 (130,8°)
Radiantin Dekl,: 13,1°
Meteoriparvi: Sporadinen
Meteoroidin rataelementit:
Perihelietäisyys: 0,679 AU
Eksentrisyys: 1,082
Inklinaatio: 170,3°
Nousevan solmun pituus: 60,2°
Perihelin argumentti: 66,5°
Keskianomalia: -1,4°
Epookki: 2022 NOV 22 21:17:03
orbit plot

Ei-interaktiivinen kuvaaja | Interaktiivinen kuvaaja

position vs time
speed and acceleration