🇳🇴 🇬🇧 🇩🇪 🇨🇿 🇫🇮

Meteor, poloha: Myre 2022-11-23 19:52:34 UTC

Soubor KML  |  InteraktivnĂ­ mapa

Mapa zobrazuje dráhy meteoru. Světlejší čáry ukazují směry od pozorovacích stanic při objevení se meteoru a tmavší čáry, kde byl naposledy viděn. Modrá šipka značí viditelnou dráhu meteoru.

static map
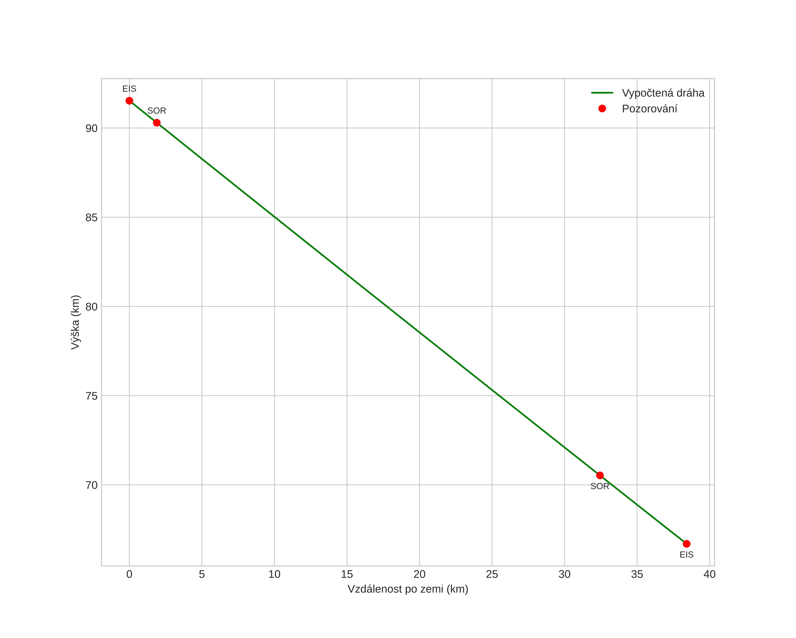
height profile
Atmosférická dráha meteoru:
Počáteční výška: 90,5 km
Konečná výška: 66,8 km
Počáteční poloha: 69,052N 16,723E
Konečná poloha: 69,252N 15,887E
Směr: 304,3°
Sklon: 30,7°
VstupnĂ­ rychlost: 28,7 km/s
Rektascenze radiantu: 04:24 (66,0°)
Deklinace radiantu: 15,2°
MeteorickĂ˝ roj: SevernĂ­ Tauridy
Elementy dráhy meteoroidu:
Vzdálenost v periheliu: 0,464 AU
Excentricita: 0,827
Sklon dráhy: 6,0°
Délka vzestupného uzlu: 61,2°
Argument perihelia: 99,8°
Střední anomálie: 350,4°
Epocha: 2022 NOV 23 19:52:34
orbit plot

NeinteraktivnĂ­ graf | InteraktivnĂ­ graf

position vs time
speed and acceleration