🇳🇴 🇬🇧 🇩🇪 🇨🇿 🇫🇮

Meteor, poloha: Storsteinnes 2022-11-24 14:29:39 UTC

Soubor KML  |  InteraktivnĂ­ mapa

Mapa zobrazuje dráhy meteoru. Světlejší čáry ukazují směry od pozorovacích stanic při objevení se meteoru a tmavší čáry, kde byl naposledy viděn. Modrá šipka značí viditelnou dráhu meteoru.

static map
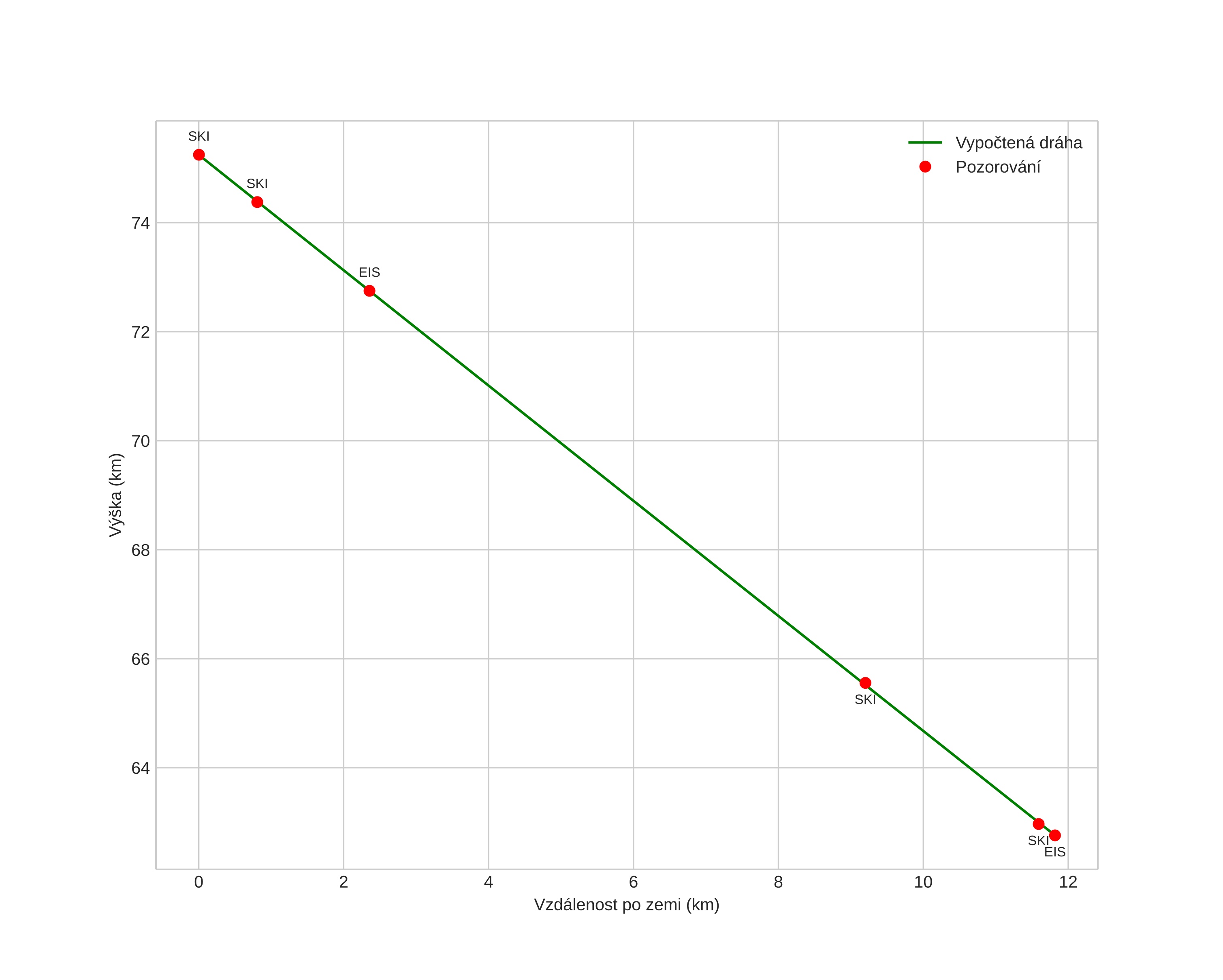
height profile
Atmosférická dráha meteoru:
Počáteční výška: 75,2 km
Konečná výška: 62,8 km
Počáteční poloha: 69,313N 19,347E
Konečná poloha: 69,418N 19,397E
Směr: 9,5°
Sklon: 46,4°
VstupnĂ­ rychlost: 13,1 km/s
Rektascenze radiantu: 19:23 (290,9°)
Deklinace radiantu: 11,9°
MeteorickĂ˝ roj: sporadickĂ˝
Elementy dráhy meteoroidu:
Vzdálenost v periheliu: 0,973 AU
Excentricita: 0,388
Sklon dráhy: 6,4°
Délka vzestupného uzlu: 241,9°
Argument perihelia: 161,2°
Střední anomálie: 7,7°
Epocha: 2022 NOV 24 14:29:39
orbit plot

NeinteraktivnĂ­ graf | InteraktivnĂ­ graf

position vs time
speed and acceleration