🇳🇴 🇬🇧 🇩🇪 🇨🇿 🇫🇮

Meteor, poloha: Sistranda 2022-11-25 22:15:39 UTC

Soubor KML  |  InteraktivnĂ­ mapa

Mapa zobrazuje dráhy meteoru. Světlejší čáry ukazují směry od pozorovacích stanic při objevení se meteoru a tmavší čáry, kde byl naposledy viděn. Modrá šipka značí viditelnou dráhu meteoru.

static map
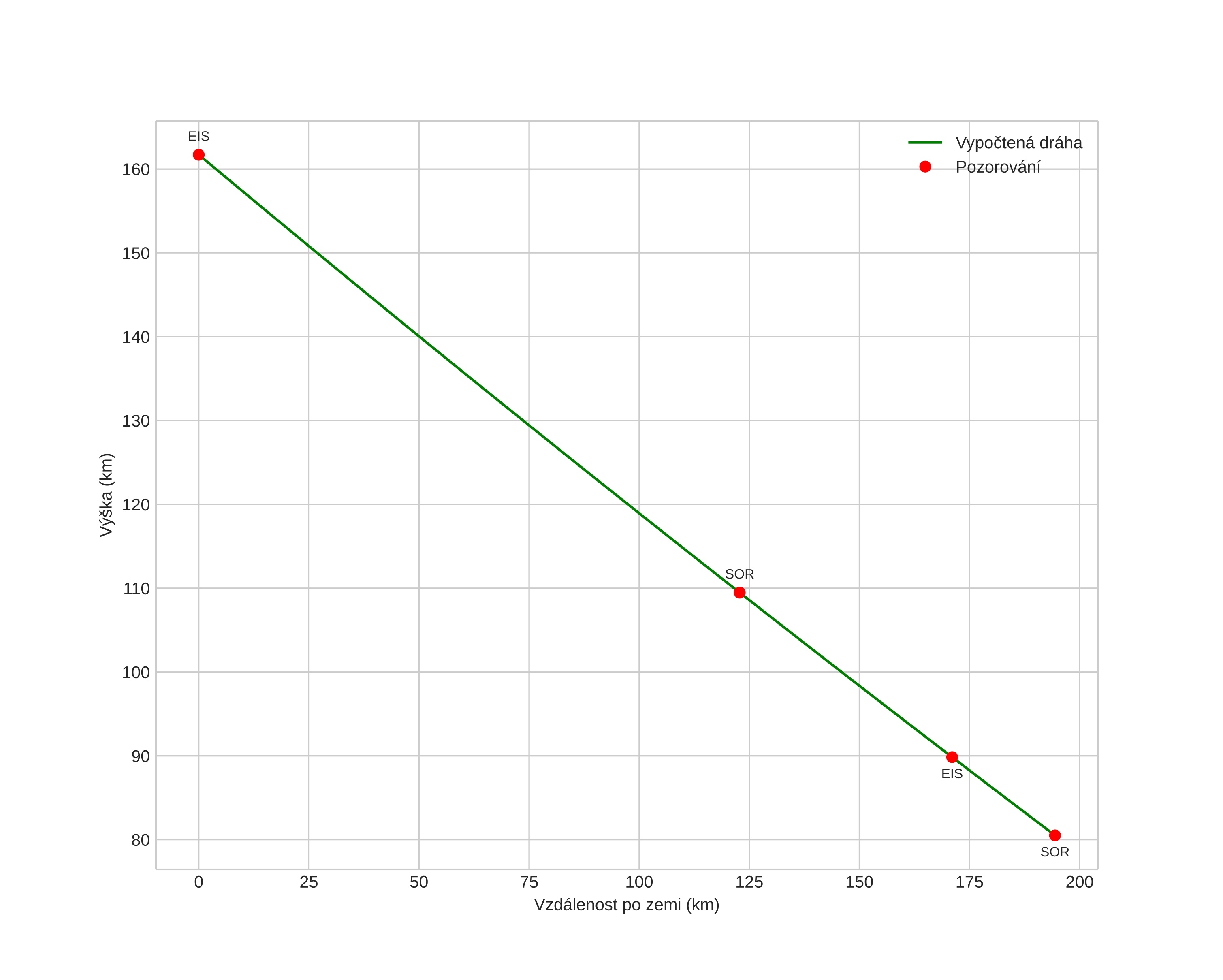
height profile
Atmosférická dráha meteoru:
Počáteční výška: 143,1 km
Konečná výška: 86,7 km
Počáteční poloha: 64,532N 8,232E
Konečná poloha: 65,420N 8,754E
Směr: 13,7°
Sklon: 29,0°
VstupnĂ­ rychlost: 64,3 km/s
Rektascenze radiantu: 02:17 (34,4°)
Deklinace radiantu: 3,5°
MeteorickĂ˝ roj: sporadickĂ˝
Elementy dráhy meteoroidu:
Vzdálenost v periheliu: 0,708 AU
Excentricita: 5,033
Sklon dráhy: 9,9°
Délka vzestupného uzlu: 63,3°
Argument perihelia: 48,6°
Střední anomálie: -202,5°
Epocha: 2022 NOV 25 22:15:39
orbit plot

NeinteraktivnĂ­ graf | InteraktivnĂ­ graf

position vs time
speed and acceleration