🇳🇴 🇬🇧 🇩🇪 🇨🇿 🇫🇮

Meteor, poloha: Storsteinnes 2022-11-26 02:47:18 UTC

Soubor KML  |  InteraktivnĂ­ mapa

Mapa zobrazuje dráhy meteoru. Světlejší čáry ukazují směry od pozorovacích stanic při objevení se meteoru a tmavší čáry, kde byl naposledy viděn. Modrá šipka značí viditelnou dráhu meteoru.

static map
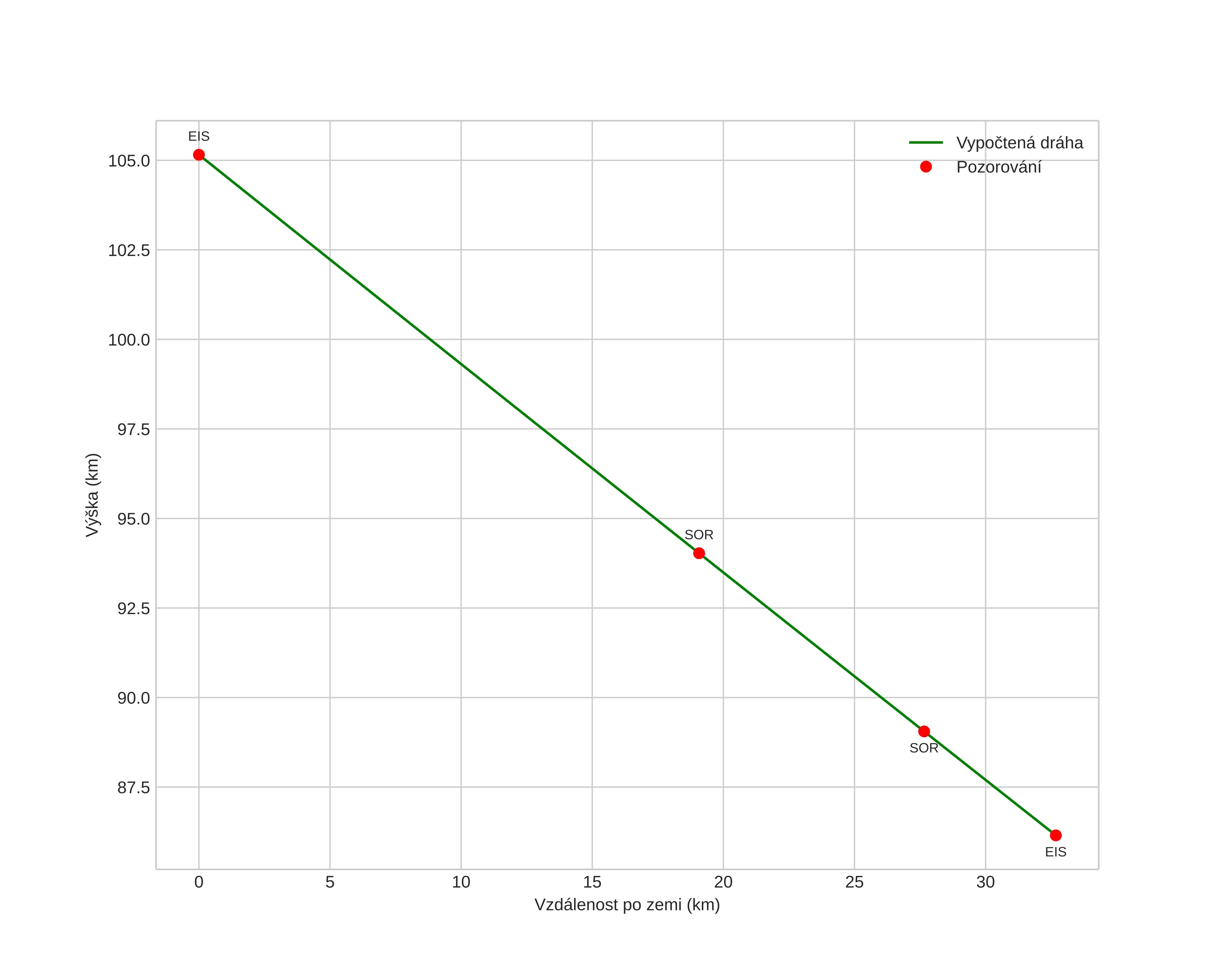
height profile
Atmosférická dráha meteoru:
Počáteční výška: 104,7 km
Konečná výška: 85,9 km
Počáteční poloha: 68,729N 18,625E
Konečná poloha: 68,847N 19,366E
Směr: 65,9°
Sklon: 30,0°
VstupnĂ­ rychlost: 25,7 km/s
Rektascenze radiantu: 04:26 (66,6°)
Deklinace radiantu: 16,4°
MeteorickĂ˝ roj: SevernĂ­ Tauridy
Elementy dráhy meteoroidu:
Vzdálenost v periheliu: 0,514 AU
Excentricita: 0,755
Sklon dráhy: 4,3°
Délka vzestupného uzlu: 63,5°
Argument perihelia: 96,6°
Střední anomálie: 345,4°
Epocha: 2022 NOV 26 02:47:18
orbit plot

NeinteraktivnĂ­ graf | InteraktivnĂ­ graf

position vs time
speed and acceleration