🇳🇴 🇬🇧 🇩🇪 🇨🇿 🇫🇮

Meteor, poloha: Andenes 2022-11-27 23:53:32 UTC

Soubor KML  |  InteraktivnĂ­ mapa

Mapa zobrazuje dráhy meteoru. Světlejší čáry ukazují směry od pozorovacích stanic při objevení se meteoru a tmavší čáry, kde byl naposledy viděn. Modrá šipka značí viditelnou dráhu meteoru.

static map
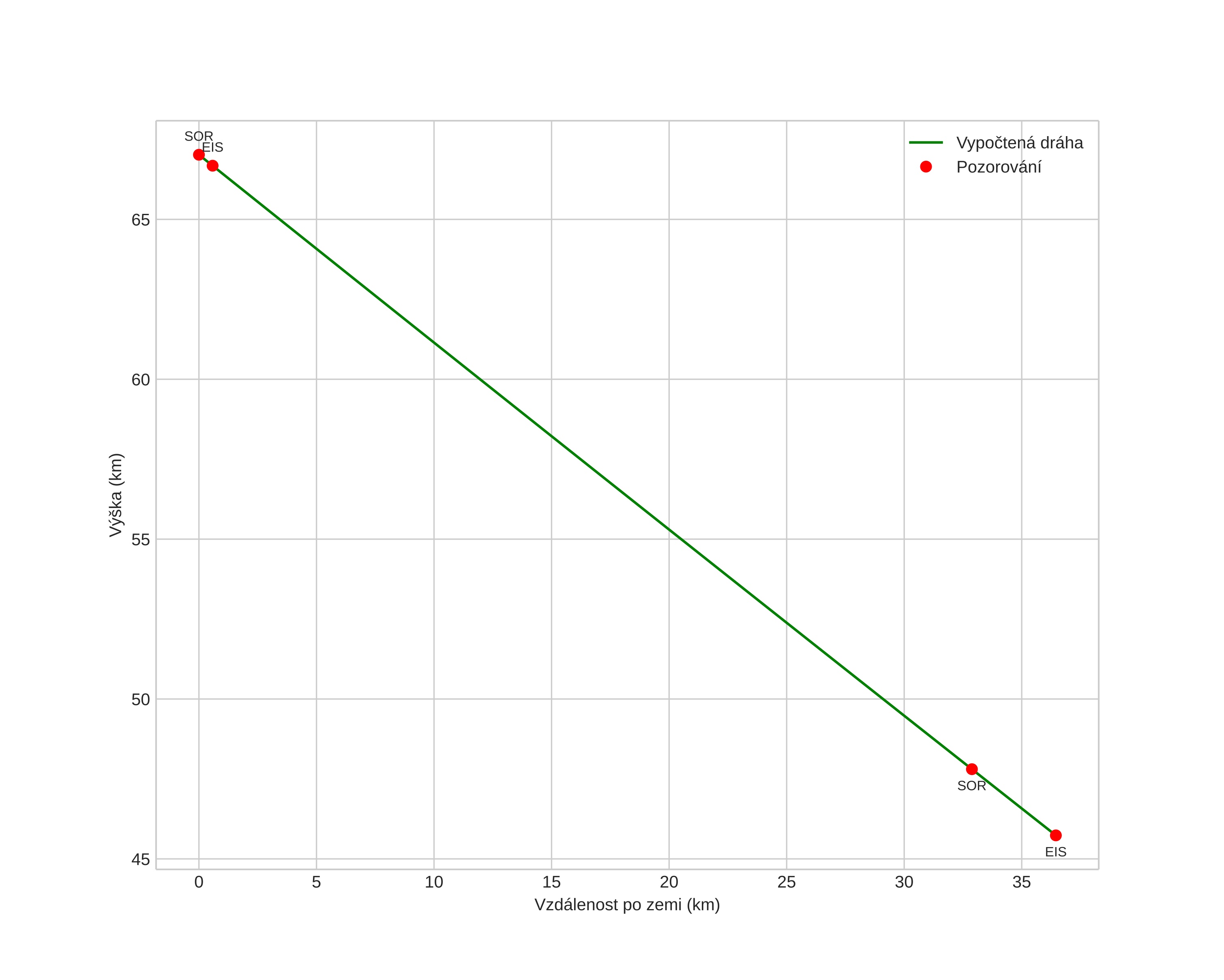
height profile
Atmosférická dráha meteoru:
Počáteční výška: 67,2 km
Konečná výška: 46,3 km
Počáteční poloha: 70,188N 15,447E
Konečná poloha: 70,147N 16,385E
Směr: 96,9°
Sklon: 30,4°
VstupnĂ­ rychlost: 14,2 km/s
Rektascenze radiantu: 23:17 (349,3°)
Deklinace radiantu: 16,5°
MeteorickĂ˝ roj: sporadickĂ˝
Elementy dráhy meteoroidu:
Vzdálenost v periheliu: 0,977 AU
Excentricita: 0,647
Sklon dráhy: 4,5°
Délka vzestupného uzlu: 245,4°
Argument perihelia: 193,2°
Střední anomálie: 357,8°
Epocha: 2022 NOV 27 23:53:32
orbit plot

NeinteraktivnĂ­ graf | InteraktivnĂ­ graf

position vs time
speed and acceleration