🇳🇴 🇬🇧 🇩🇪 🇨🇿 🇫🇮

Meteor, poloha: Tromsø 2022-11-29 14:27:20 UTC

Soubor KML  |  InteraktivnĂ­ mapa

Mapa zobrazuje dráhy meteoru. Světlejší čáry ukazují směry od pozorovacích stanic při objevení se meteoru a tmavší čáry, kde byl naposledy viděn. Modrá šipka značí viditelnou dráhu meteoru.

static map
height profile
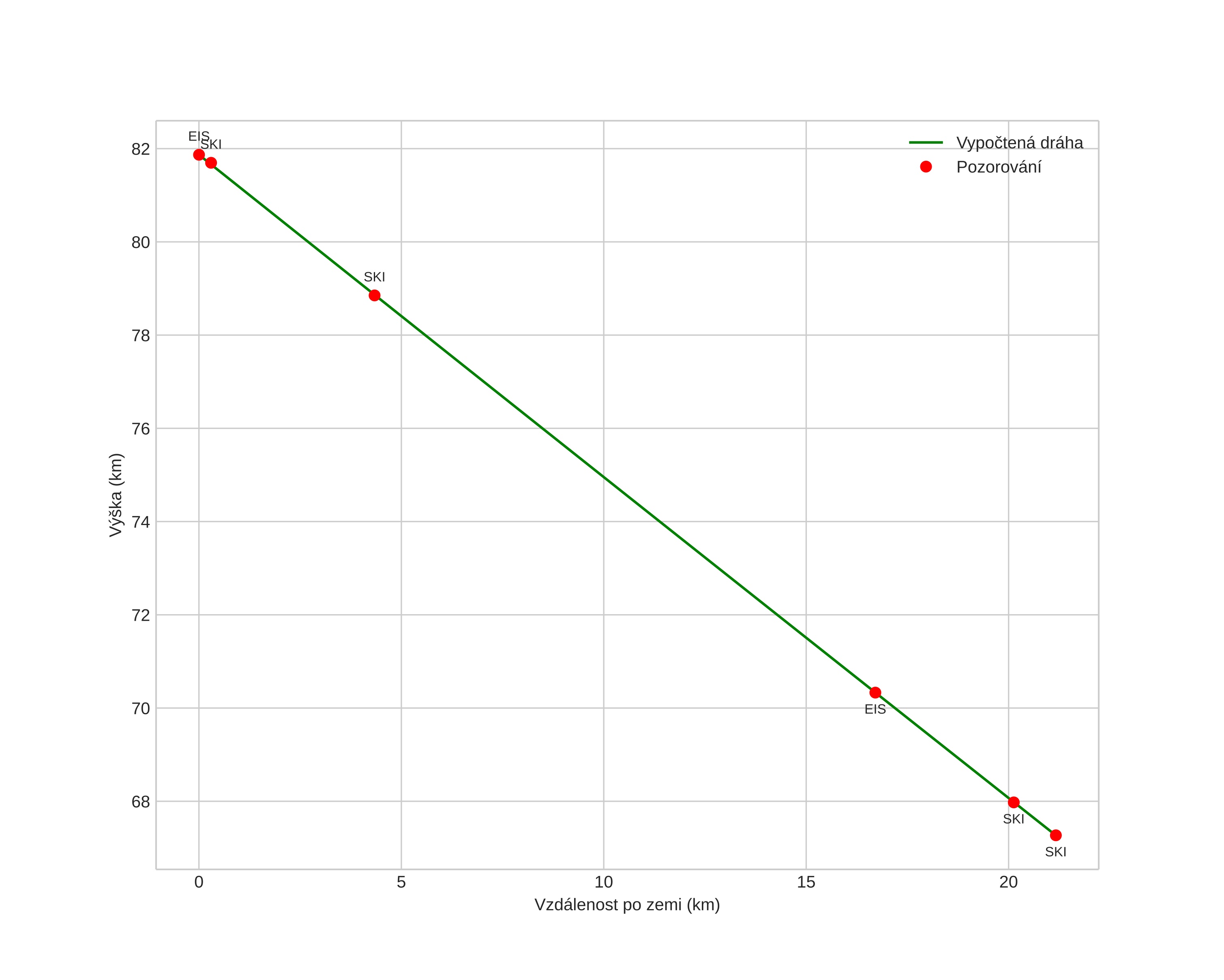
Atmosférická dráha meteoru:
Počáteční výška: 83,1 km
Konečná výška: 66,3 km
Počáteční poloha: 69,682N 19,183E
Konečná poloha: 69,752N 18,706E
Směr: 293,3°
Sklon: 40,0°
VstupnĂ­ rychlost: 19,5 km/s
Rektascenze radiantu: 00:00 (0,0°)
Deklinace radiantu: 25,0°
MeteorickĂ˝ roj: sporadickĂ˝
Elementy dráhy meteoroidu:
Vzdálenost v periheliu: 0,952 AU
Excentricita: 1,116
Sklon dráhy: 8,3°
Délka vzestupného uzlu: 247,0°
Argument perihelia: 201,0°
Střední anomálie: -0,6°
Epocha: 2022 NOV 29 14:27:20
orbit plot

NeinteraktivnĂ­ graf | InteraktivnĂ­ graf

position vs time
speed and acceleration