🇳🇴 🇬🇧 🇩🇪 🇨🇿 🇫🇮

Meteor, poloha: Lillesand 2022-12-02 02:23:02 UTC

Soubor KML  |  InteraktivnĂ­ mapa

Mapa zobrazuje dráhy meteoru. Světlejší čáry ukazují směry od pozorovacích stanic při objevení se meteoru a tmavší čáry, kde byl naposledy viděn. Modrá šipka značí viditelnou dráhu meteoru.

static map
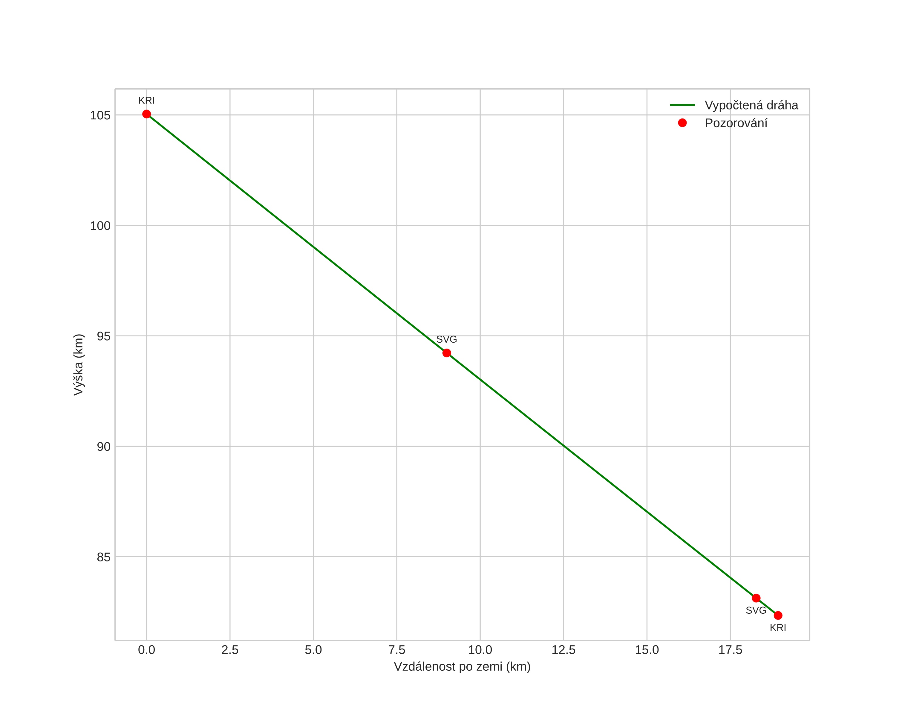
height profile
Atmosférická dráha meteoru:
Počáteční výška: 105,0 km
Konečná výška: 82,3 km
Počáteční poloha: 58,056N 8,601E
Konečná poloha: 58,220N 8,509E
Směr: 343,5°
Sklon: 50,2°
VstupnĂ­ rychlost: 65,6 km/s
Rektascenze radiantu: 08:23 (125,8°)
Deklinace radiantu: 18,8°
MeteorickĂ˝ roj: sporadickĂ˝
Elementy dráhy meteoroidu:
Vzdálenost v periheliu: 0,262 AU
Excentricita: 1,044
Sklon dráhy: 178,3°
Délka vzestupného uzlu: 69,5°
Argument perihelia: 115,8°
Střední anomálie: -2,3°
Epocha: 2022 DEC 02 02:23:02
orbit plot

NeinteraktivnĂ­ graf | InteraktivnĂ­ graf

position vs time
speed and acceleration