🇳🇴 🇬🇧 🇩🇪 🇨🇿 🇫🇮

Meteor, poloha: Storsteinnes 2022-12-02 19:25:28 UTC

Soubor KML  |  InteraktivnĂ­ mapa

Mapa zobrazuje dráhy meteoru. Světlejší čáry ukazují směry od pozorovacích stanic při objevení se meteoru a tmavší čáry, kde byl naposledy viděn. Modrá šipka značí viditelnou dráhu meteoru.

static map
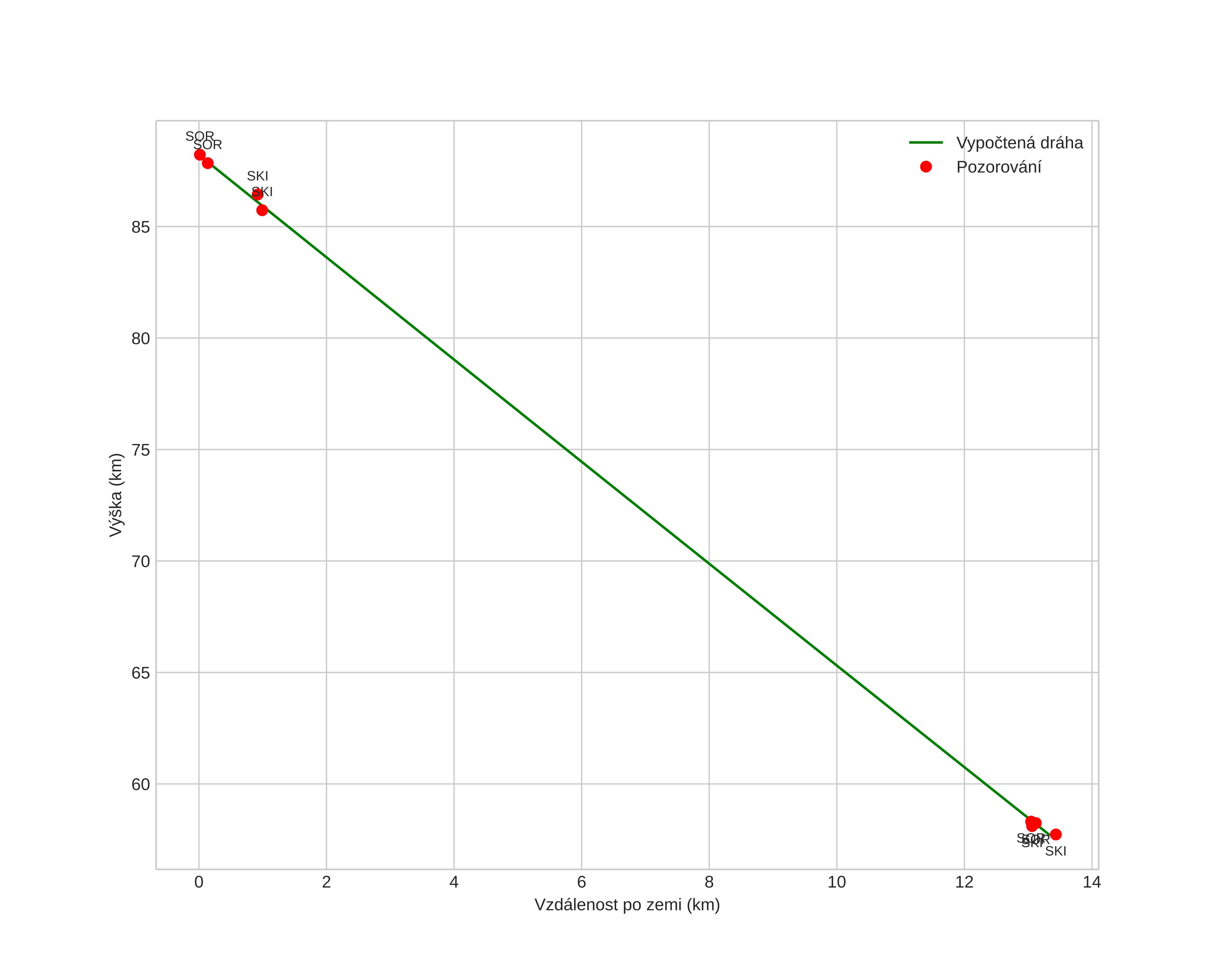
height profile
Atmosférická dráha meteoru:
Počáteční výška: 88,0 km
Konečná výška: 57,7 km
Počáteční poloha: 68,811N 19,133E
Konečná poloha: 68,917N 19,286E
Směr: 27,3°
Sklon: 66,3°
VstupnĂ­ rychlost: 16,7 km/s
Rektascenze radiantu: 00:17 (4,3°)
Deklinace radiantu: 42,7°
MeteorickĂ˝ roj: sporadickĂ˝
Elementy dráhy meteoroidu:
Vzdálenost v periheliu: 0,945 AU
Excentricita: 0,696
Sklon dráhy: 11,4°
Délka vzestupného uzlu: 250,3°
Argument perihelia: 206,0°
Střední anomálie: 356,6°
Epocha: 2022 DEC 02 19:25:28
orbit plot

NeinteraktivnĂ­ graf | InteraktivnĂ­ graf

position vs time
speed and acceleration