🇳🇴 🇬🇧 🇩🇪 🇨🇿 🇫🇮

Meteor Breivikbotnin yllä 2022-12-04 00:18:01 UTC

KML-tiedosto  |  Interaktiivinen kartta

Kartta näyttää meteorin suuntahavainnot. Vaaleammat viivat näyttävät suunnat havaintoasemilta meteorin ilmestyessä, ja tummemmat viivat näyttävät, missä se viimeksi nähtiin. Sininen nuoli näyttää meteorin näkyvän lennon.

static map
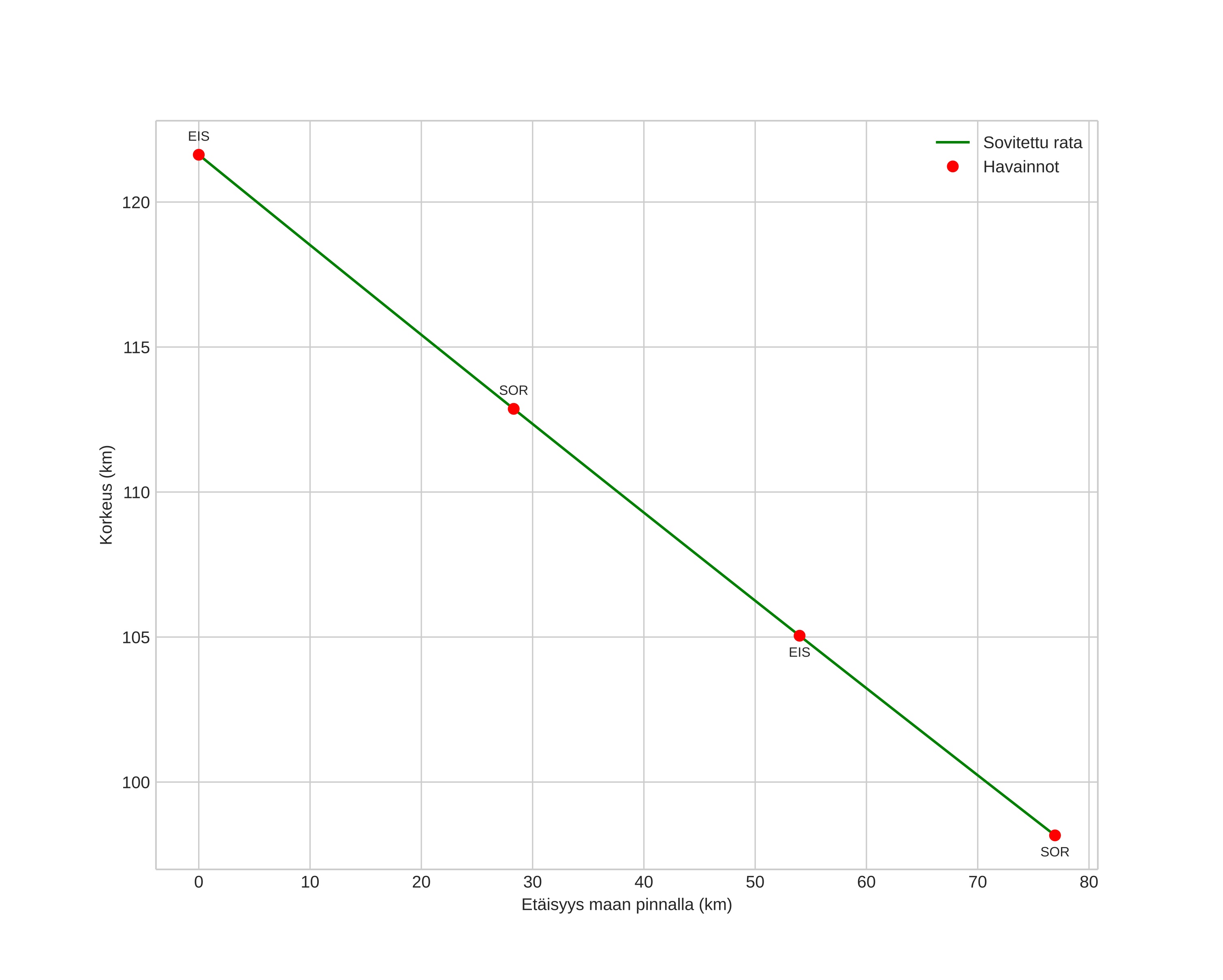
height profile
Meteorin ilmakehärata:
Alkukorkeus: 123,3 km
Loppukorkeus: 101,2 km
Alkupiste: 72,169N 22,759E
Loppupiste: 72,887N 22,053E
Suunta: 343,9°
Kallistuskulma: 14,9°
Tulonopeus: 78,2 km/s
Radiantin R,A,: 07:40 (115,2°)
Radiantin Dekl,: -2,7°
Meteoriparvi: Sporadinen
Meteoroidin rataelementit:
Perihelietäisyys: 0,492 AU
Eksentrisyys: 2,128
Inklinaatio: 123,8°
Nousevan solmun pituus: 71,5°
Perihelin argumentti: 74,7°
Keskianomalia: -84,8°
Epookki: 2022 DEC 04 00:18:01
orbit plot

Ei-interaktiivinen kuvaaja | Interaktiivinen kuvaaja

position vs time
speed and acceleration

Sorreisa (SOR) cam4

gnomonic
Videot:
• Alkuperäinen
Kuvat:
• Alkuperäinen
Tekstitiedostot:
• Havaintoraportti
• Observaatio
• Koordinaatit
• Virheilmoitukset
• Loki
Kirkkaus