🇳🇴 🇬🇧 🇩🇪 🇨🇿 🇫🇮

Meteor, poloha: Utsira 2022-12-07 00:29:45 UTC

Soubor KML  |  InteraktivnĂ­ mapa

Mapa zobrazuje dráhy meteoru. Světlejší čáry ukazují směry od pozorovacích stanic při objevení se meteoru a tmavší čáry, kde byl naposledy viděn. Modrá šipka značí viditelnou dráhu meteoru.

static map
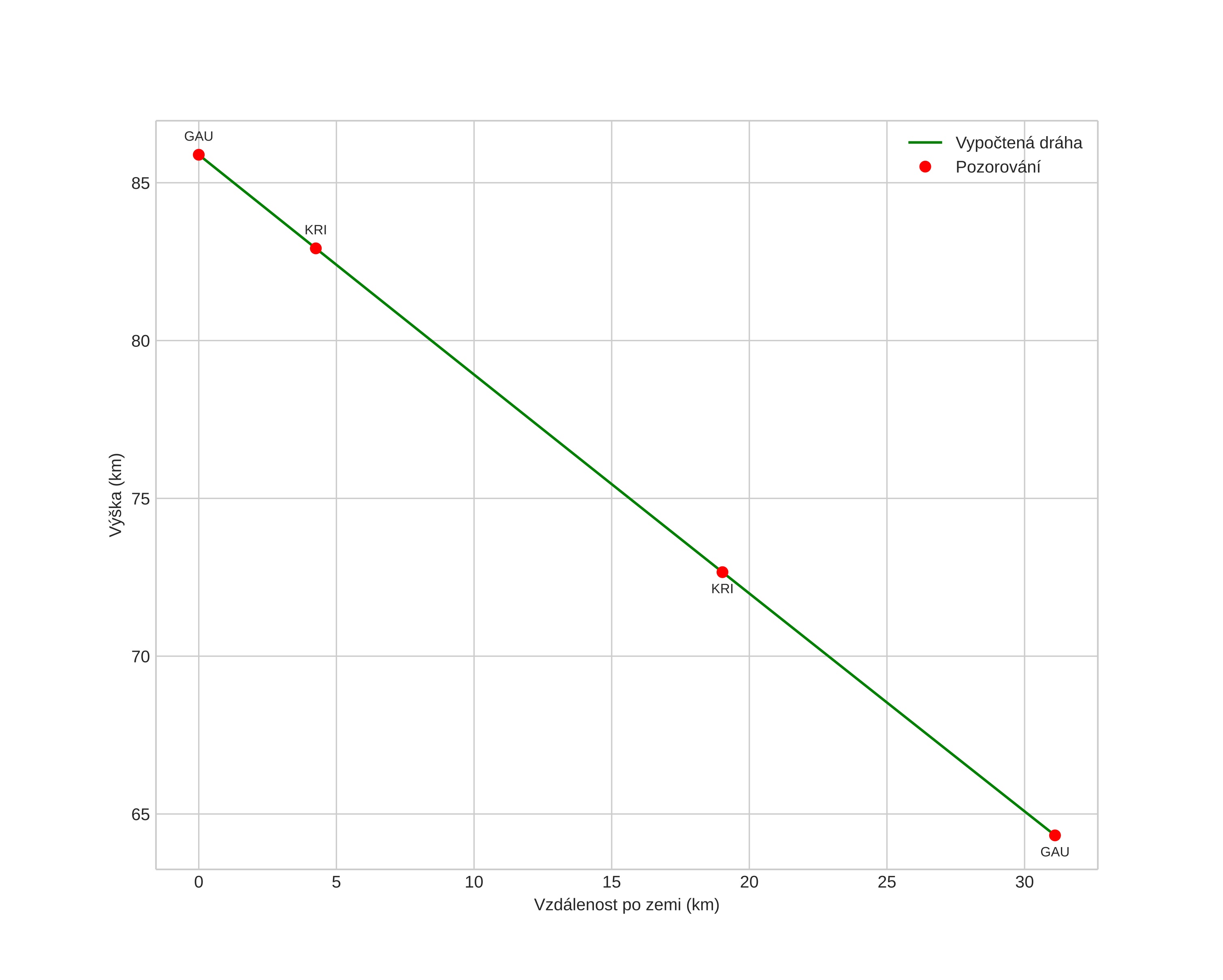
height profile
Atmosférická dráha meteoru:
Počáteční výška: 85,9 km
Konečná výška: 64,3 km
Počáteční poloha: 58,994N 4,616E
Konečná poloha: 58,757N 4,329E
Směr: 212,1°
Sklon: 34,8°
VstupnĂ­ rychlost: 45,4 km/s
Rektascenze radiantu: 14:13 (213,4°)
Deklinace radiantu: 57,4°
MeteorickĂ˝ roj: sporadickĂ˝
Elementy dráhy meteoroidu:
Vzdálenost v periheliu: 0,982 AU
Excentricita: 0,831
Sklon dráhy: 75,1°
Délka vzestupného uzlu: 254,5°
Argument perihelia: 172,8°
Střední anomálie: 0,4°
Epocha: 2022 DEC 07 00:29:45
orbit plot

NeinteraktivnĂ­ graf | InteraktivnĂ­ graf

position vs time
speed and acceleration