🇳🇴 🇬🇧 🇩🇪 🇨🇿 🇫🇮

Meteor, poloha: Kautokeino 2022-12-09 23:28:11 UTC

Soubor KML  |  InteraktivnĂ­ mapa

Mapa zobrazuje dráhy meteoru. Světlejší čáry ukazují směry od pozorovacích stanic při objevení se meteoru a tmavší čáry, kde byl naposledy viděn. Modrá šipka značí viditelnou dráhu meteoru.

static map
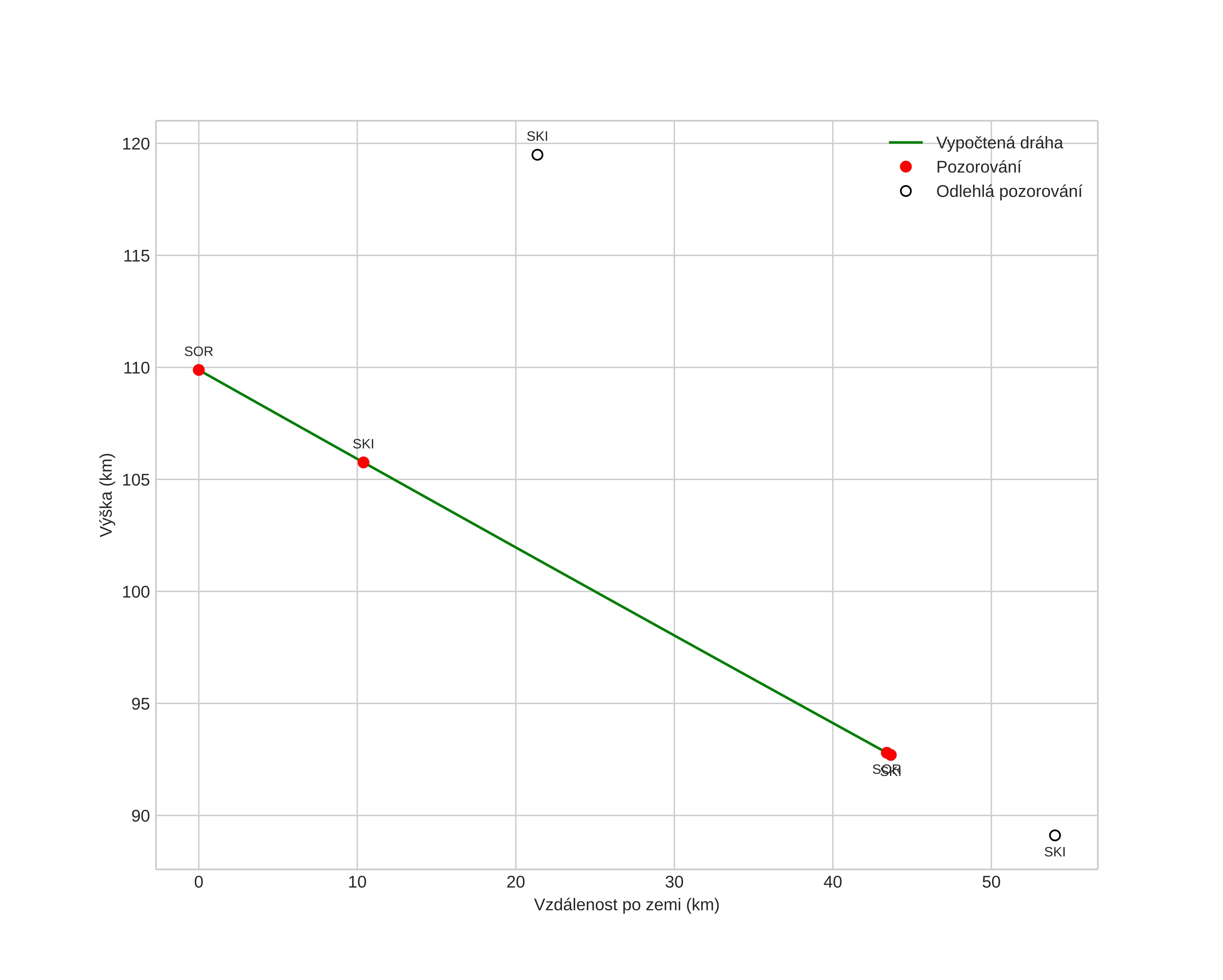
height profile
Atmosférická dráha meteoru:
Počáteční výška: 106,3 km
Konečná výška: 89,6 km
Počáteční poloha: 68,636N 22,764E
Konečná poloha: 68,932N 22,110E
Směr: 321,6°
Sklon: 21,6°
VstupnĂ­ rychlost: 66,5 km/s
Rektascenze radiantu: 08:33 (128,5°)
Deklinace radiantu: 4,0°
MeteorickĂ˝ roj: Sigma Hydridy
Elementy dráhy meteoroidu:
Vzdálenost v periheliu: 0,336 AU
Excentricita: 1,145
Sklon dráhy: 141,0°
Délka vzestupného uzlu: 77,5°
Argument perihelia: 103,6°
Střední anomálie: -9,3°
Epocha: 2022 DEC 09 23:28:11
orbit plot

NeinteraktivnĂ­ graf | InteraktivnĂ­ graf

position vs time
speed and acceleration