🇳🇴 🇬🇧 🇩🇪 🇨🇿 🇫🇮

Meteor, poloha: Hatteng 2022-12-10 00:23:16 UTC

Soubor KML  |  InteraktivnĂ­ mapa

Mapa zobrazuje dráhy meteoru. Světlejší čáry ukazují směry od pozorovacích stanic při objevení se meteoru a tmavší čáry, kde byl naposledy viděn. Modrá šipka značí viditelnou dráhu meteoru.

static map
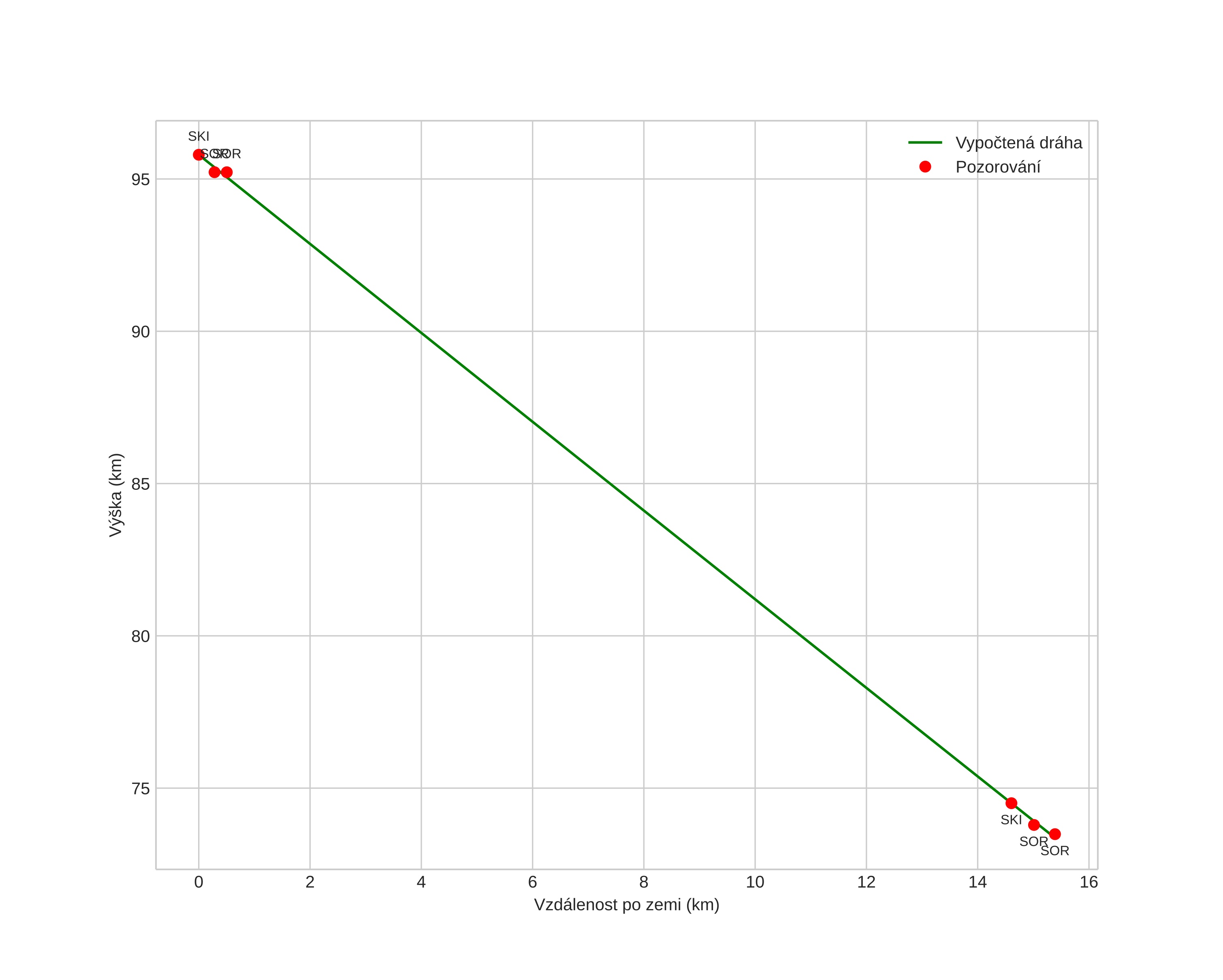
height profile
Atmosférická dráha meteoru:
Počáteční výška: 95,9 km
Konečná výška: 73,9 km
Počáteční poloha: 68,805N 19,699E
Konečná poloha: 68,940N 19,652E
Směr: 352,8°
Sklon: 55,4°
VstupnĂ­ rychlost: 36,9 km/s
Rektascenze radiantu: 07:13 (108,4°)
Deklinace radiantu: 33,4°
MeteorickĂ˝ roj: Geminidy
Elementy dráhy meteoroidu:
Vzdálenost v periheliu: 0,139 AU
Excentricita: 0,904
Sklon dráhy: 25,6°
Délka vzestupného uzlu: 257,6°
Argument perihelia: 324,1°
Střední anomálie: 338,9°
Epocha: 2022 DEC 10 00:23:16
orbit plot

NeinteraktivnĂ­ graf | InteraktivnĂ­ graf

position vs time
speed and acceleration