🇳🇴 🇬🇧 🇩🇪 🇨🇿 🇫🇮

Meteor, poloha: Storsteinnes 2022-12-10 06:50:59 UTC

Soubor KML  |  InteraktivnĂ­ mapa

Mapa zobrazuje dráhy meteoru. Světlejší čáry ukazují směry od pozorovacích stanic při objevení se meteoru a tmavší čáry, kde byl naposledy viděn. Modrá šipka značí viditelnou dráhu meteoru.

static map
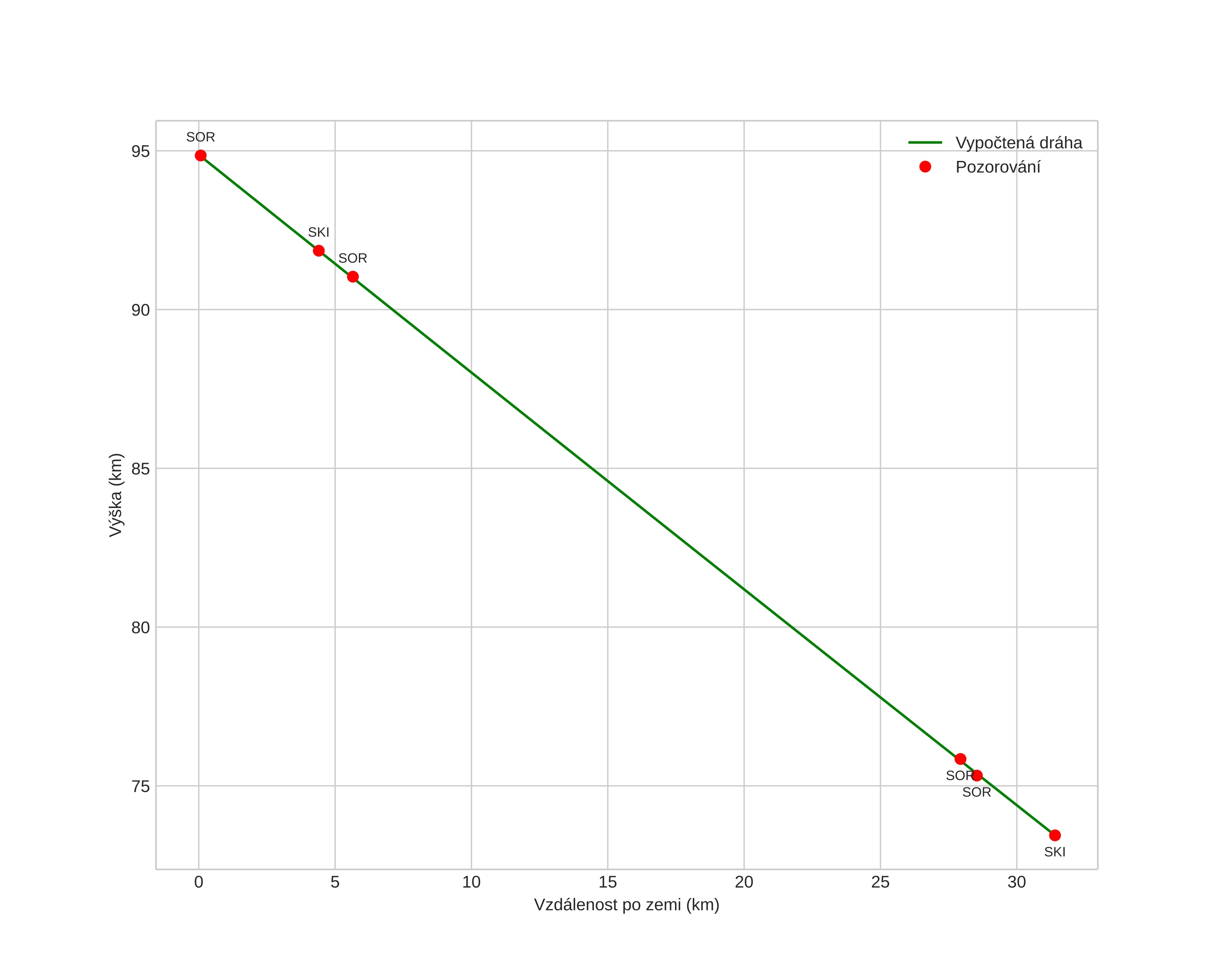
height profile
Atmosférická dráha meteoru:
Počáteční výška: 94,2 km
Konečná výška: 72,5 km
Počáteční poloha: 68,800N 18,423E
Konečná poloha: 68,742N 19,189E
Směr: 101,6°
Sklon: 34,5°
VstupnĂ­ rychlost: 37,0 km/s
Rektascenze radiantu: 07:30 (112,6°)
Deklinace radiantu: 34,7°
MeteorickĂ˝ roj: Geminidy
Elementy dráhy meteoroidu:
Vzdálenost v periheliu: 0,123 AU
Excentricita: 0,904
Sklon dráhy: 32,2°
Délka vzestupného uzlu: 257,9°
Argument perihelia: 327,6°
Střední anomálie: 334,7°
Epocha: 2022 DEC 10 06:50:59
orbit plot

NeinteraktivnĂ­ graf | InteraktivnĂ­ graf

position vs time
speed and acceleration