🇳🇴 🇬🇧 🇩🇪 🇨🇿 🇫🇮

Meteor Tingvatnin yllä 2022-12-10 16:15:19 UTC

KML-tiedosto  |  Interaktiivinen kartta

Kartta näyttää meteorin suuntahavainnot. Vaaleammat viivat näyttävät suunnat havaintoasemilta meteorin ilmestyessä, ja tummemmat viivat näyttävät, missä se viimeksi nähtiin. Sininen nuoli näyttää meteorin näkyvän lennon.

static map
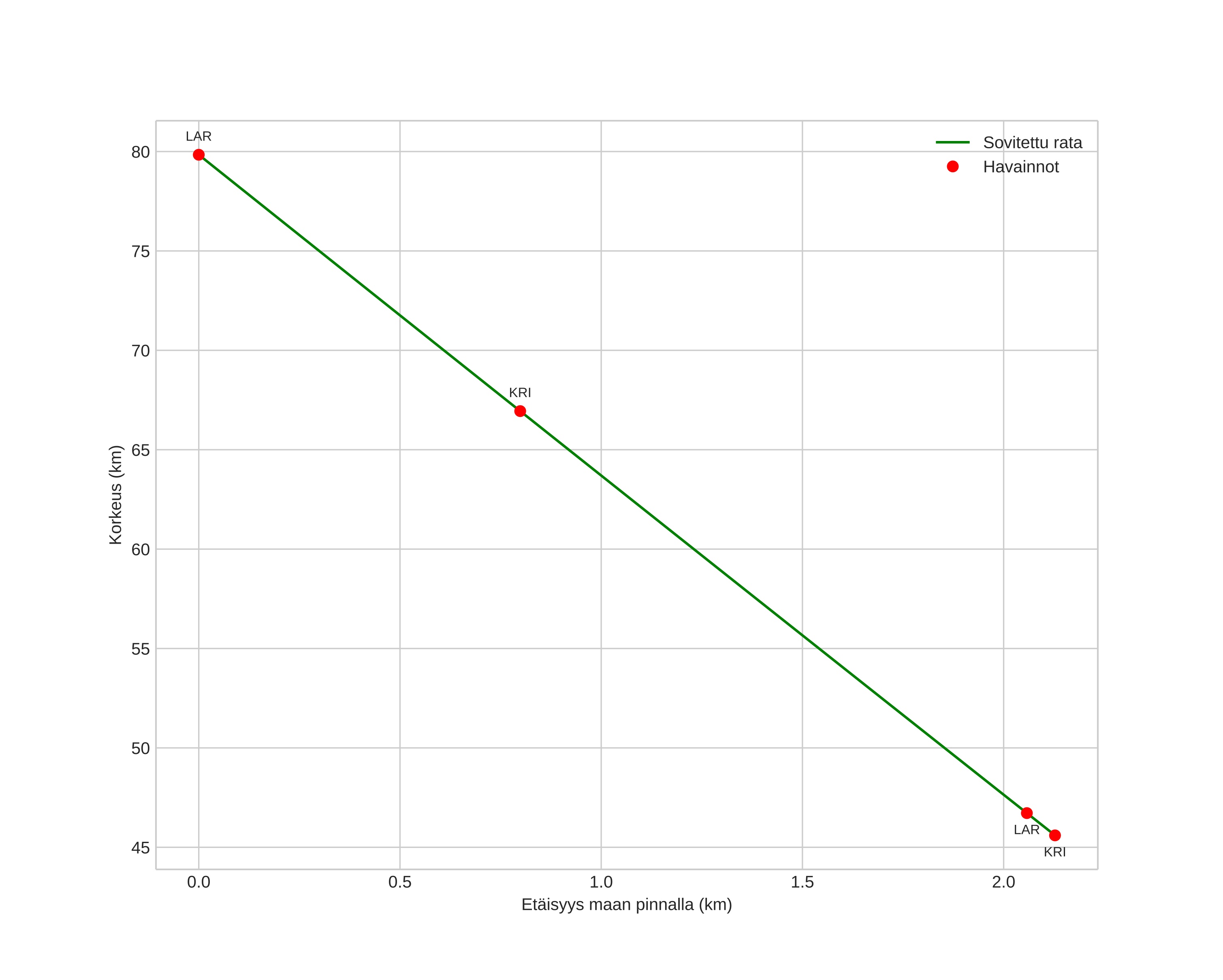
height profile
Meteorin ilmakehärata:
Alkukorkeus: 79,2 km
Loppukorkeus: 45,7 km
Alkupiste: 58,311N 7,162E
Loppupiste: 58,318N 7,134E
Suunta: 293,9°
Kallistuskulma: 87,0°
Tulonopeus: 17,1 km/s
Radiantin R,A,: 22:16 (334,1°)
Radiantin Dekl,: 56,6°
Meteoriparvi: Sporadinen
Meteoroidin rataelementit:
Perihelietäisyys: 0,977 AU
Eksentrisyys: 0,606
Inklinaatio: 17,1°
Nousevan solmun pituus: 258,3°
Perihelin argumentti: 191,7°
Keskianomalia: 357,7°
Epookki: 2022 DEC 10 16:15:19
orbit plot

Ei-interaktiivinen kuvaaja | Interaktiivinen kuvaaja

position vs time
speed and acceleration